Последнее обновление :
27/04/2026
Infostab
Списки
Списки
Поиск совместимостей
Таблица совместимостей в Y-соединении систем
Библиография
Исследовательские группы
valistab
плакат
связи
спонсоры
Автор
Инструкция по эксплуатации
Информационый бюллетень
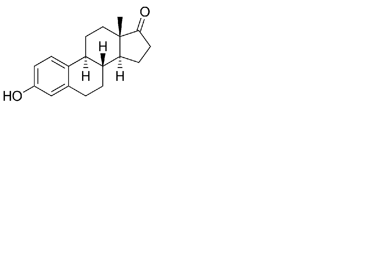
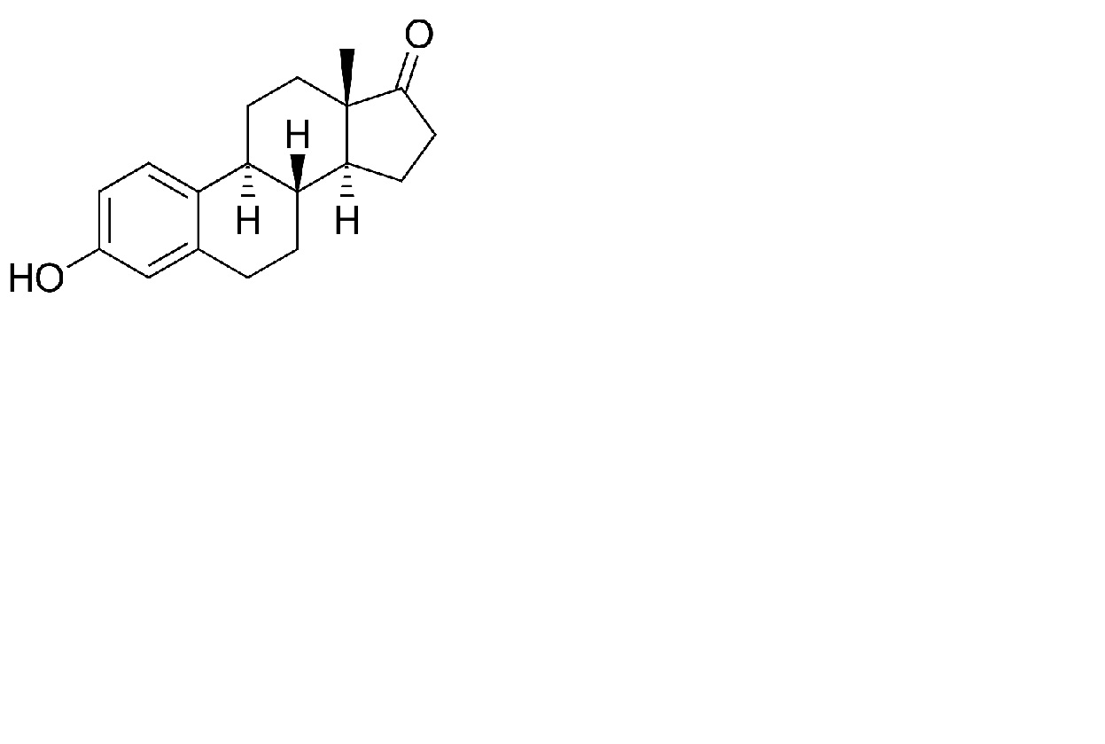
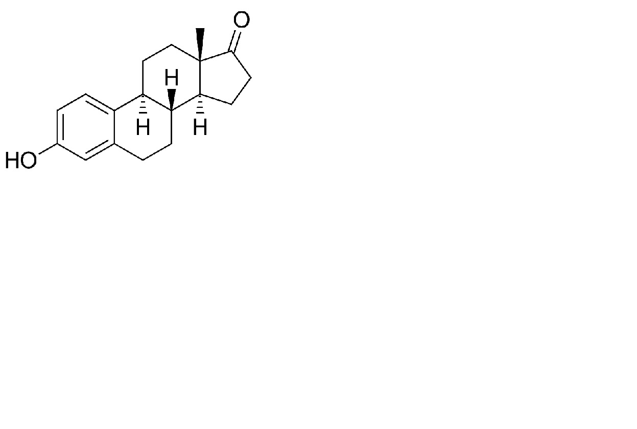
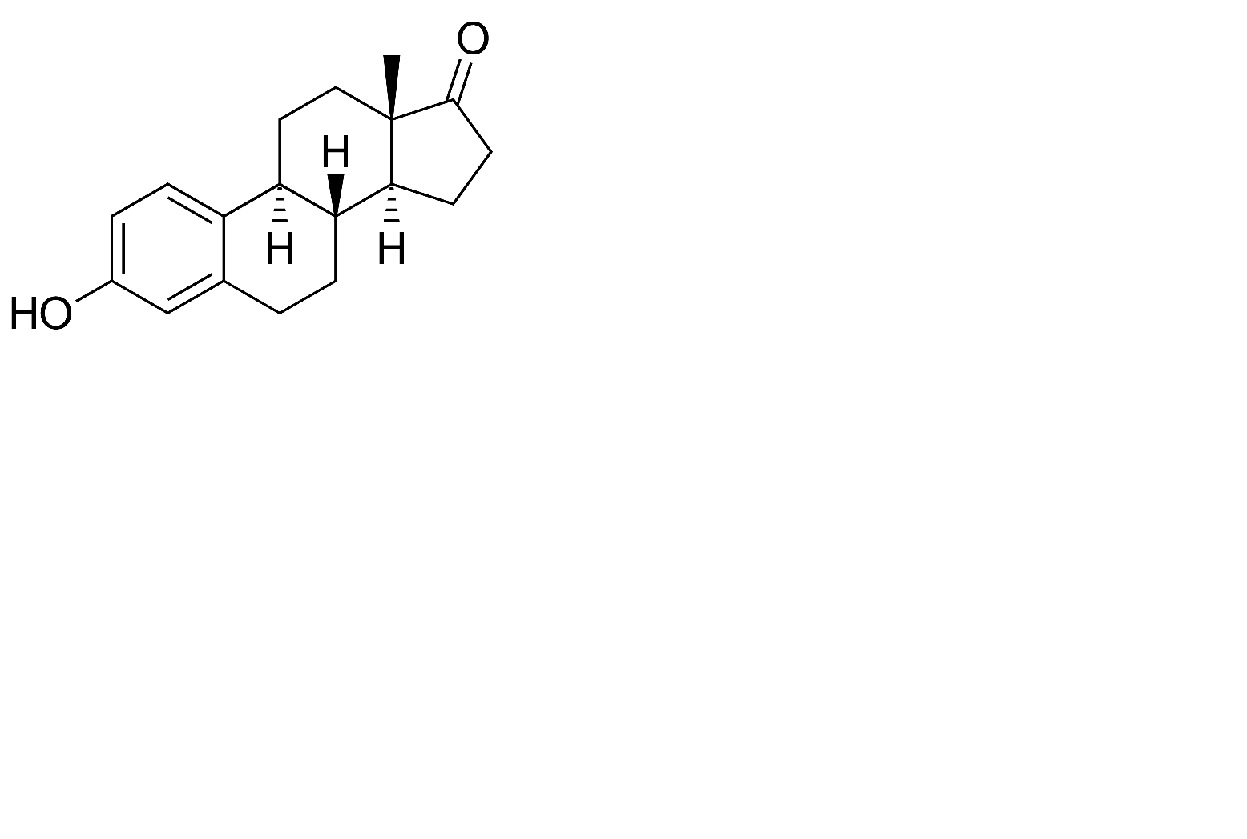
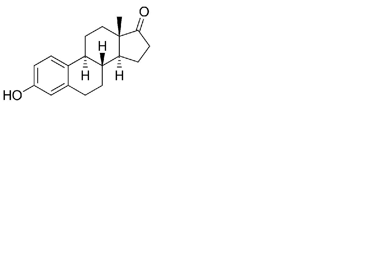
Estrone
Химическая структура
Библиография : Estrone
тип
публикация
4577
Журнал
Wynn T, Taylor S, Zander C.
Stability of Fagron's Phytobase Cream Compounded with Various Hormones.
Int J Pharm Compound 2021 ;25,2:156-162
4598
Журнал
Polonini H, Dijkers E, Ferreira A, Zander C, Taylor S.
Compatibility of Estradiol, Estriol; Estrone, Progesterone, and Testosterone Single Formulation in Fitalite, Versatile, or HRT Supreme Cream Base.
Int J Pharm Compound 2021 ;78,4:336-349
Mentions Légales