Ostatnia aktualizacja :
27/04/2026
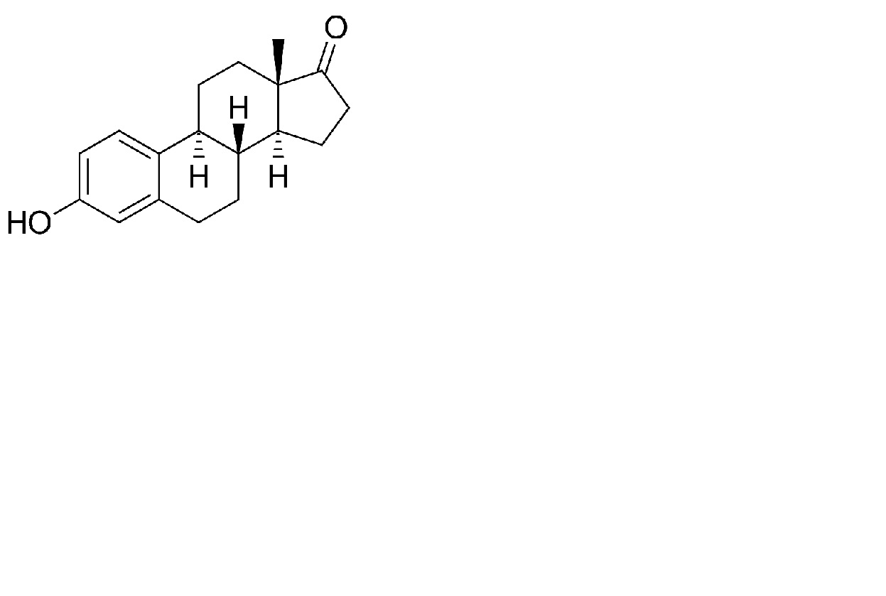
Hormon   Estrone  
Maści
Stabilność preparatów farmaceutycznych Trwałość w mieszaninie Czynnik wpływający na trwałość Zgodność Bibliografia pdf
   Struktura chemiczna  

Maści
Bibliografia   Maści   Bibliografia : Estrone  
typ publikacja
4577 Czasopismo Wynn T, Taylor S, Zander C.
Stability of Fagron's Phytobase Cream Compounded with Various Hormones.
Int J Pharm Compound 2021 ;25,2:156-162
4598 Czasopismo Polonini H, Dijkers E, Ferreira A, Zander C, Taylor S.
Compatibility of Estradiol, Estriol; Estrone, Progesterone, and Testosterone Single Formulation in Fitalite, Versatile, or HRT Supreme Cream Base.
Int J Pharm Compound 2021 ;78,4:336-349

  Mentions Légales