Dernière mise à jour :
27/04/2026
Infostab
Liste des molécules
Listes récapitulatives
Recherches de compatibilités
Tableau de compatibilités en Y
Bibliographie
Equipes de recherche
Valistab
Posters
Liens infostab
Partenaires
Auteurs
Manuel d'utilisation
Lettre d'actualité
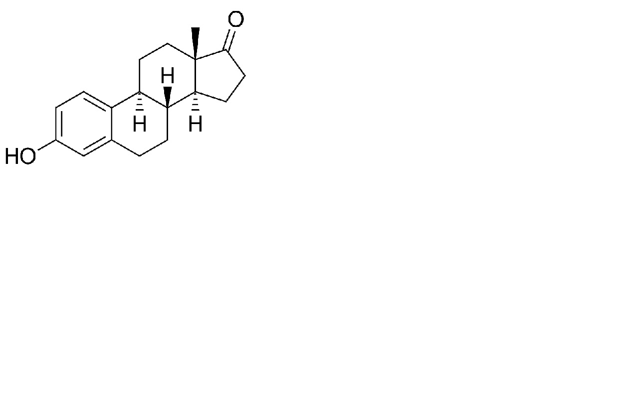
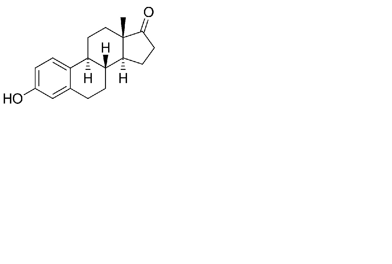
Estrone
Structure chimique
Bibliographie : Estrone
Type
Source
4577
Revue
Wynn T, Taylor S, Zander C.
Stability of Fagron's Phytobase Cream Compounded with Various Hormones.
Int J Pharm Compound 2021 ;25,2:156-162
4598
Revue
Polonini H, Dijkers E, Ferreira A, Zander C, Taylor S.
Compatibility of Estradiol, Estriol; Estrone, Progesterone, and Testosterone Single Formulation in Fitalite, Versatile, or HRT Supreme Cream Base.
Int J Pharm Compound 2021 ;78,4:336-349
Mentions Légales