Siste oppdatering :
27/04/2026
Hormon   Estrone  
Salver
Stabilitet av farmasøytiske preparater Stabilitet i blandinger Faktorer som påvirker stabiliteten Kompatibilitet Referanser pdf
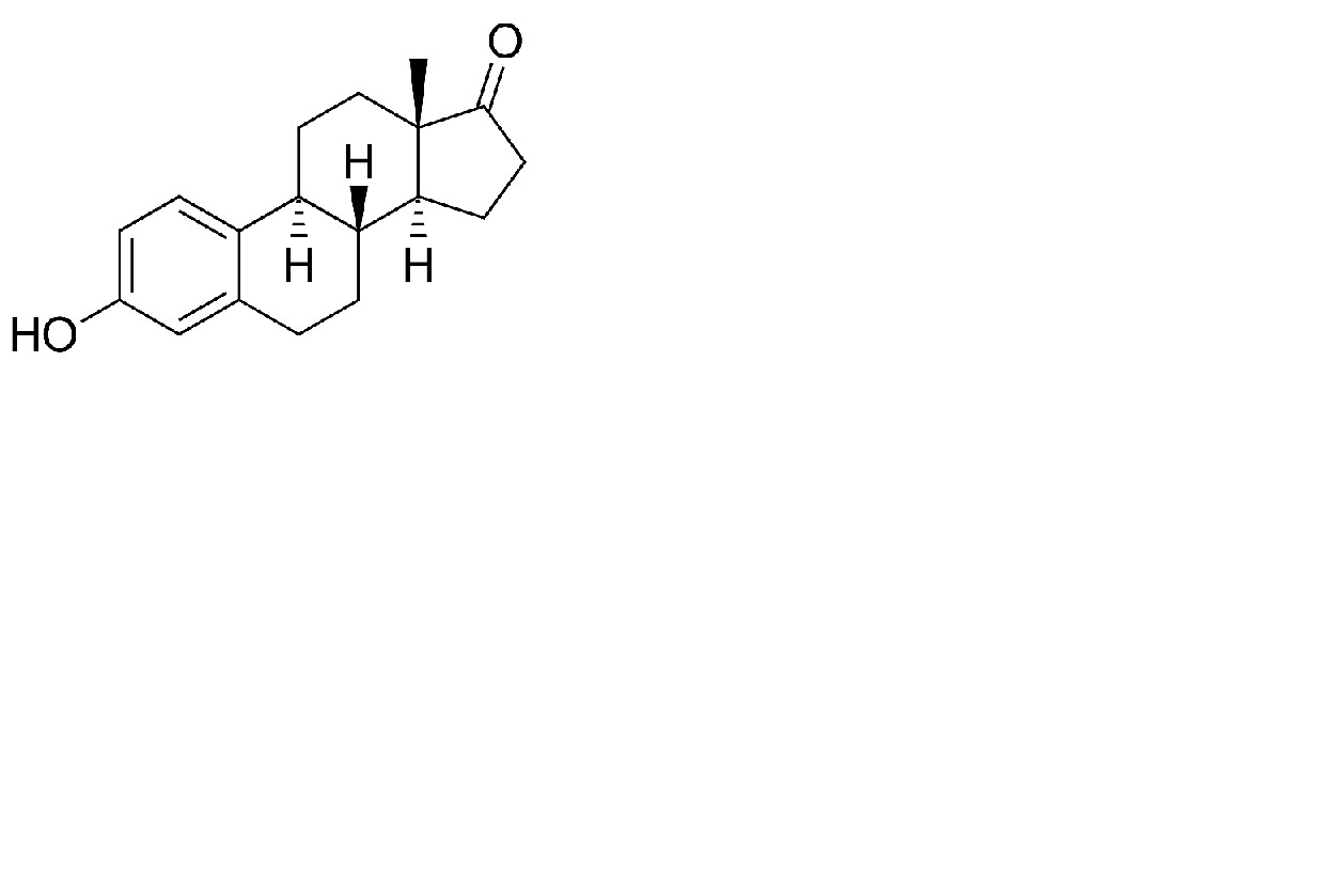
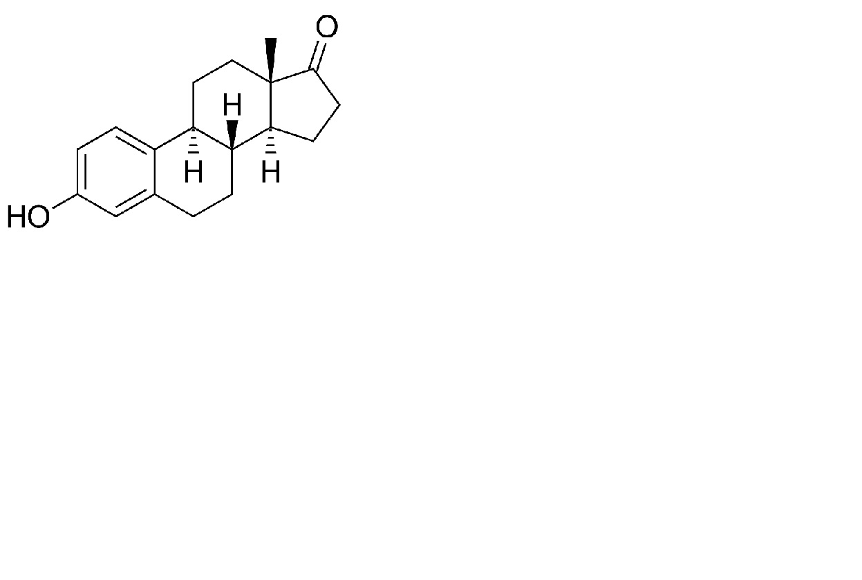
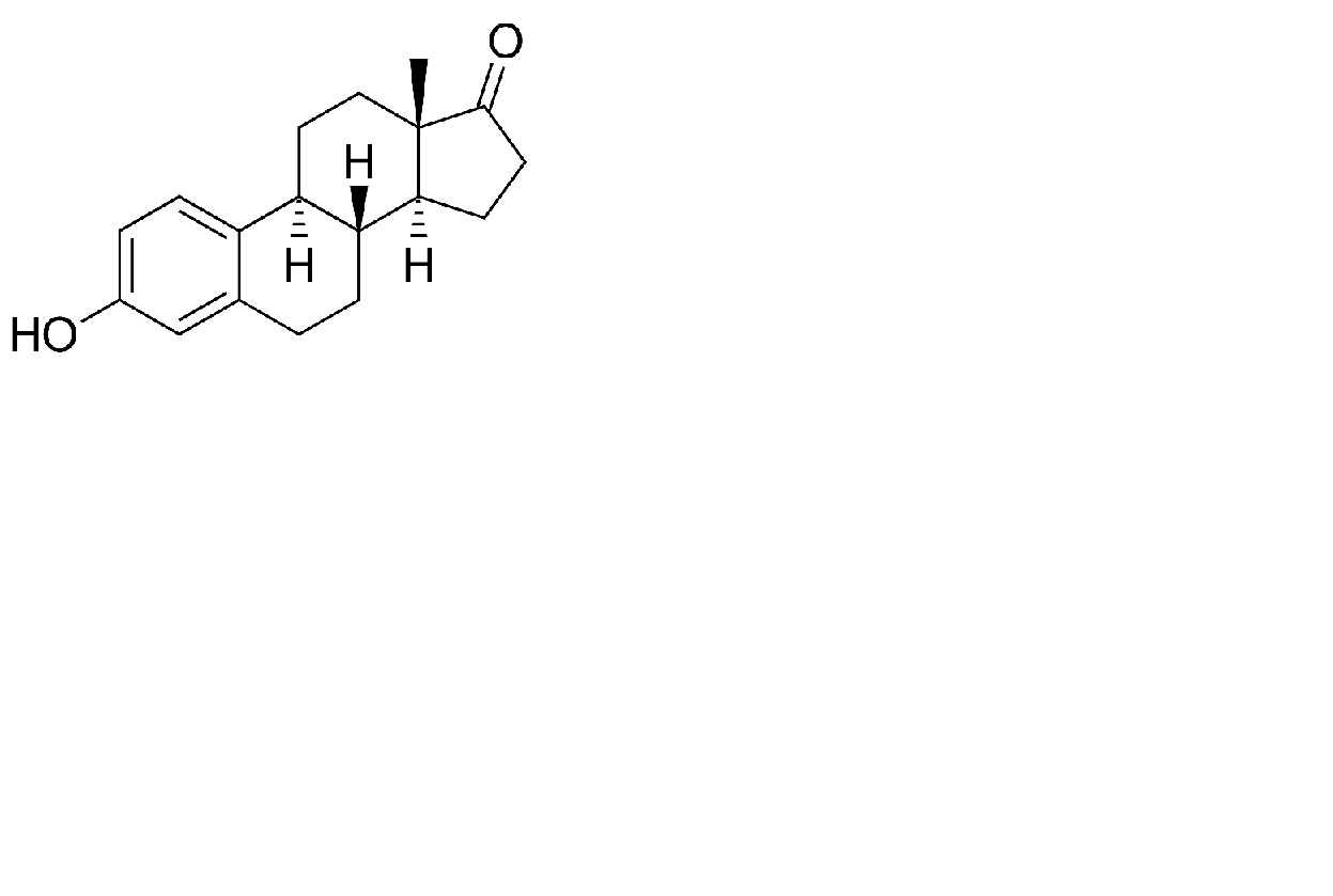
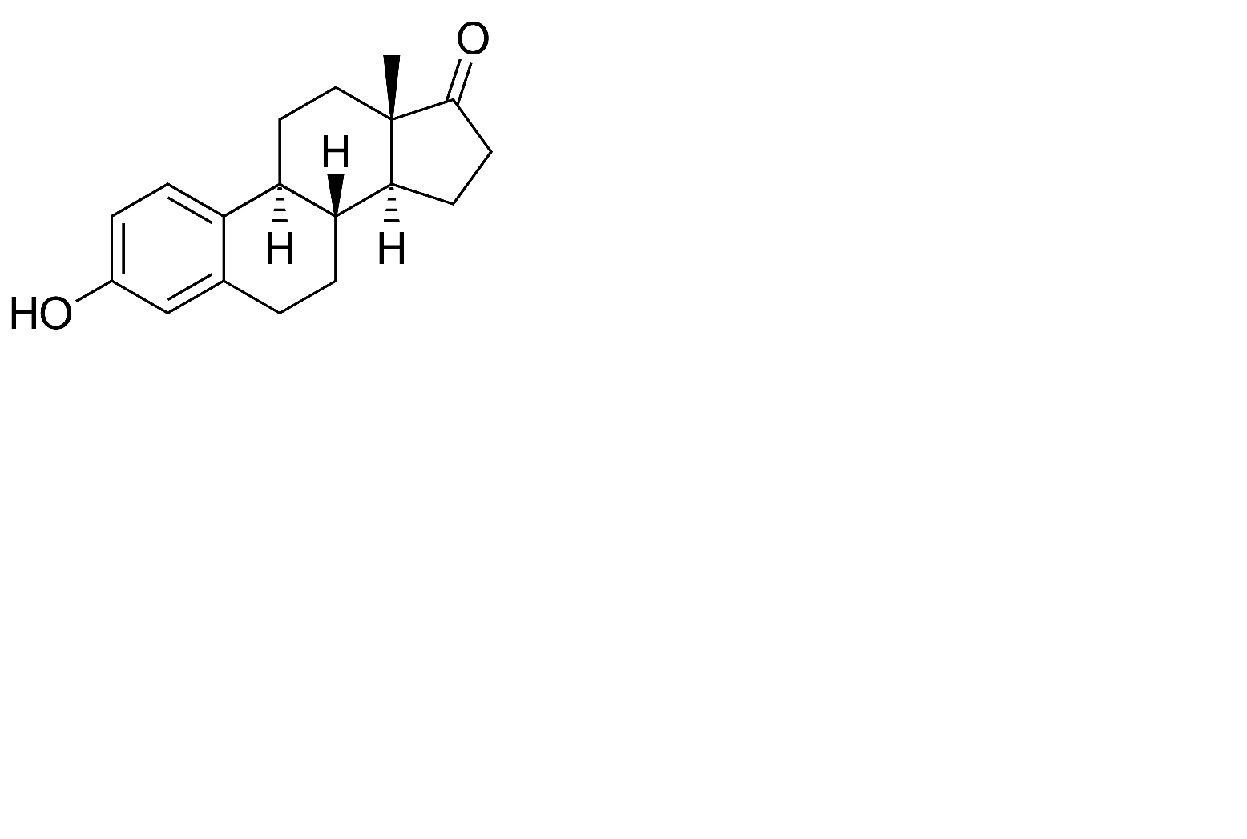
   Kjemisk struktur  

Salver
Referanser   Salver   Referanser : Estrone  
Type publikasjon
4577 Journal Wynn T, Taylor S, Zander C.
Stability of Fagron's Phytobase Cream Compounded with Various Hormones.
Int J Pharm Compound 2021 ;25,2:156-162
4598 Journal Polonini H, Dijkers E, Ferreira A, Zander C, Taylor S.
Compatibility of Estradiol, Estriol; Estrone, Progesterone, and Testosterone Single Formulation in Fitalite, Versatile, or HRT Supreme Cream Base.
Int J Pharm Compound 2021 ;78,4:336-349

  Mentions Légales