Laatste update :
27/01/2026
Vitamine   Phytomenadione  
injecteerbaar geneesmiddel
Orale Oplossing
Stabiliteit in oplossing Stabiliteit in mengsels Factoren die de stabiliteit beïnvloeden Verenigbaarheden Toedieningswijze Literatuur pdf
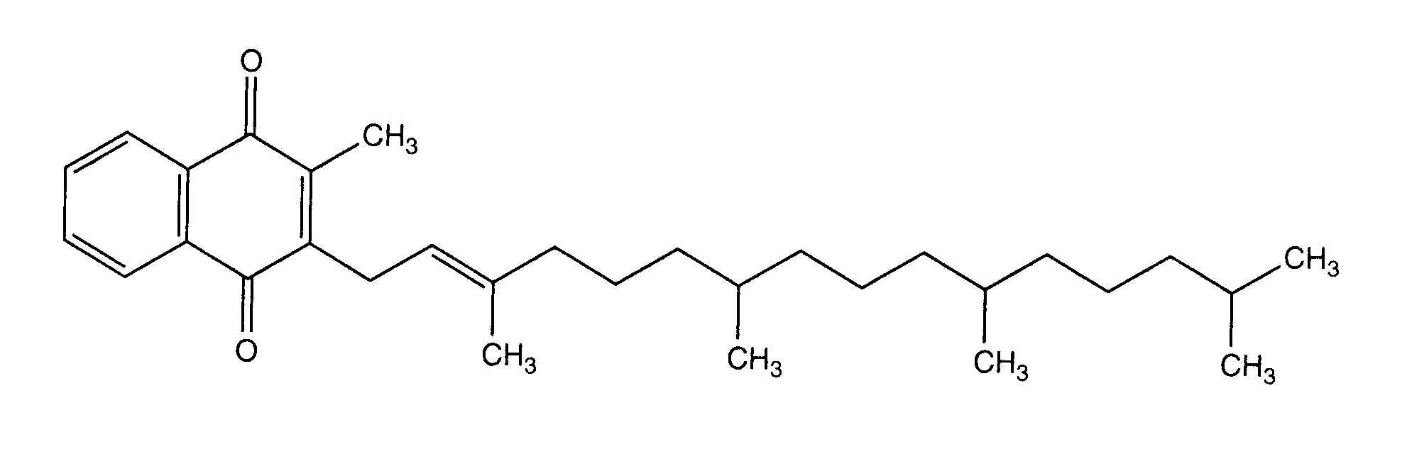
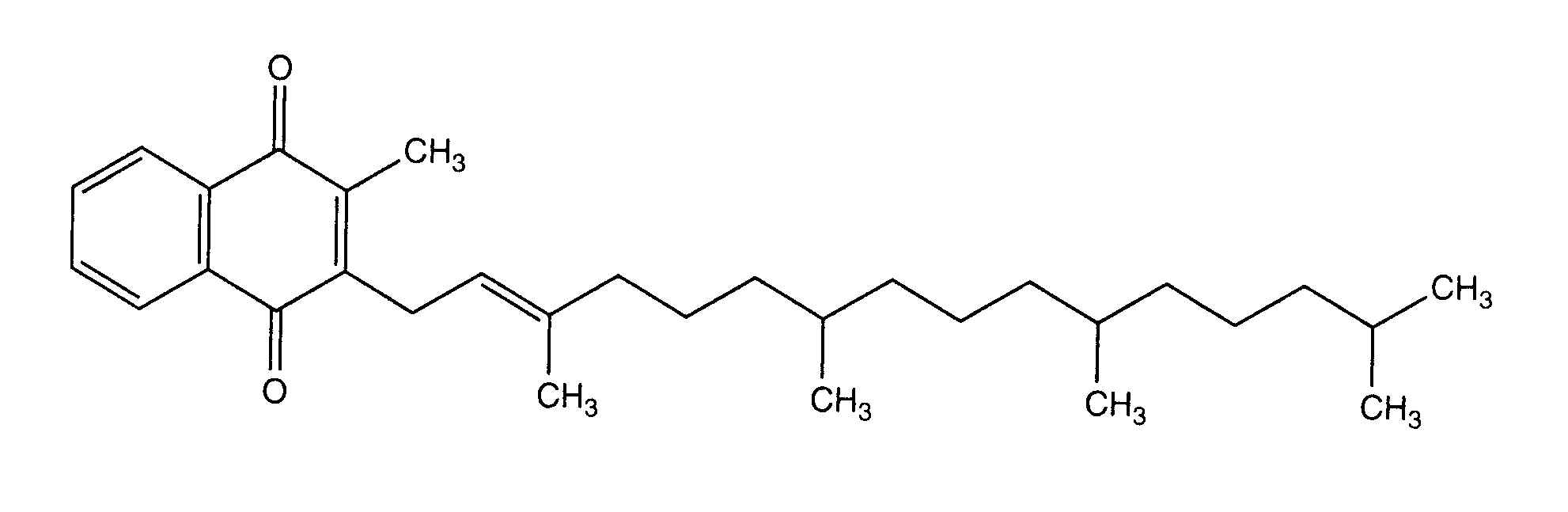
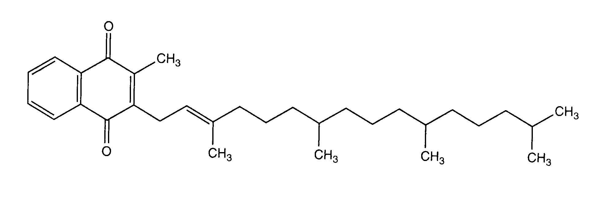
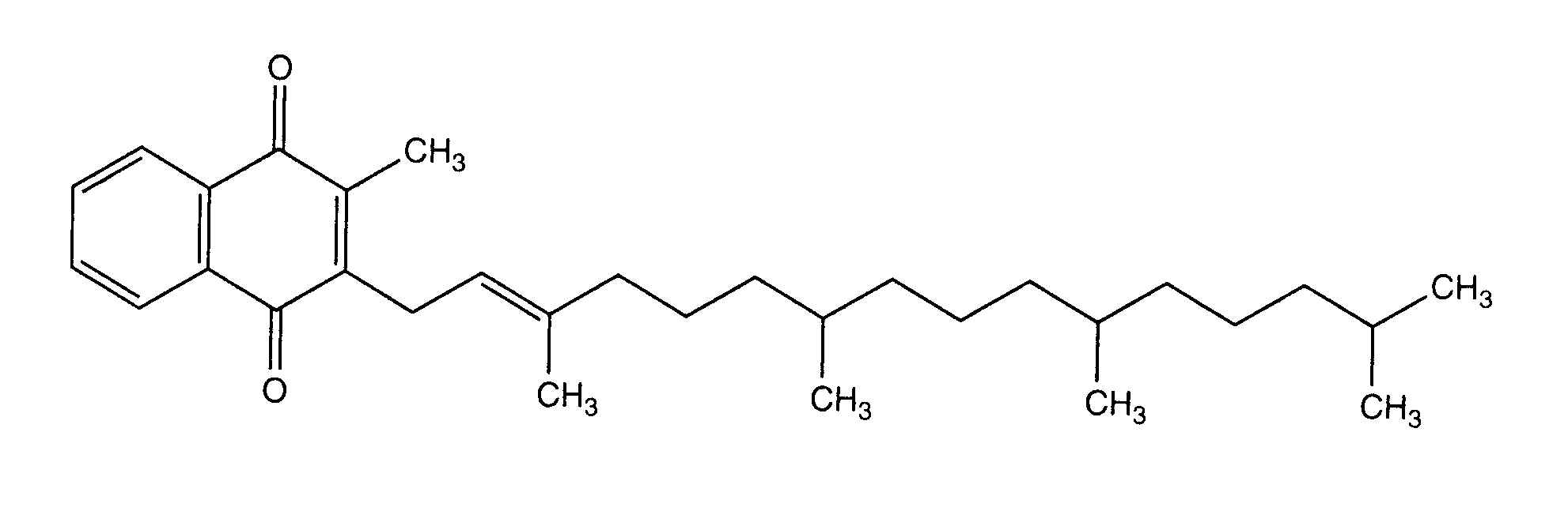
   Molecuulstructuur  

Merknamen in verschillende landen   Merknamen in verschillende landen     

Handelsnamen zijn slechts een indicatie; de samenstelling van hulpstoffen kan per land variëren afhankelijk van de fabrikant

Adcokion Egypte
Amidalak Mexico
Amri-K Egypte
Aquamephyton USA
Epikavit Egypte
Haemokion Egypte
Hyvit Brazilië
Kanakion Brazilië, Portugal
Kavit Brazilië
Kenadion Indië
Kisan Maleisië
Konakion Argentinië, België, Chili, Colombia, Denemarken, Duitsland, Ecuador, Egypte, Finland, Griekenland, Groot Britannië, Hongarije, Ierland, IJsland, Italië, Kroatië, Luxemburg, Marokko, Nederland, nieuw Zeeland, Noorwegen, Oostenrijk, Polen, Saudi-Arabië, Spanje, Turkije, Verenigde Arabische Emiraten, Zweden, Zwitserland
Oskavit Iran
Rupek Argentinië
Vikadic Iran
Vitatron Brazilië
Stabiliteit in mengsels   injecteerbaar geneesmiddel   Stabiliteit in mengsels : Phytomenadione     
geen gegevens

  Mentions Légales