Poslední aktualizace :
27/01/2026
Vitaminas   Phytomenadione  
Įpurškimas
Geriamas tirpalas
Tirpalų stabilumas Mišinių stabilumas Stabilumą lemiantys veiksniai Suderinamumas Leidimo būdai Bibliografija pdf
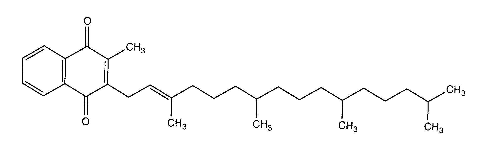
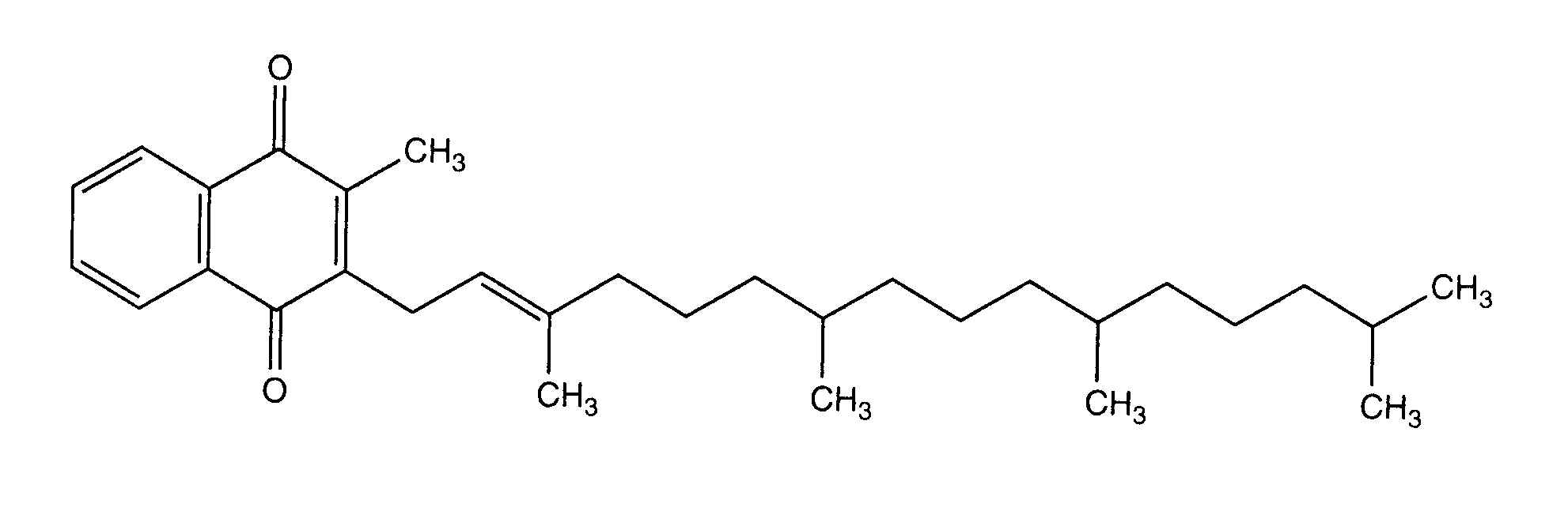
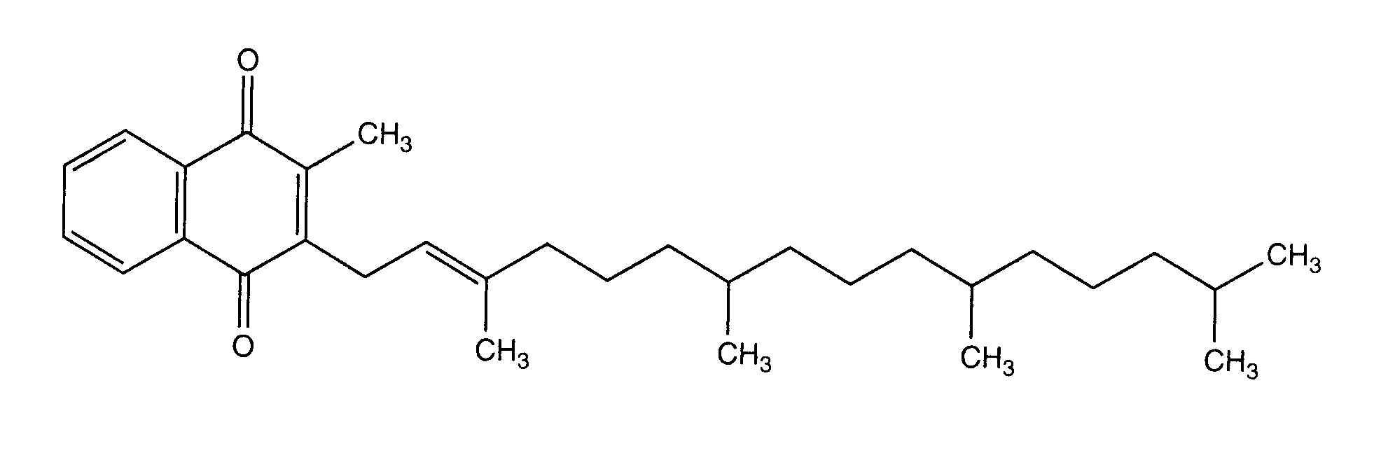
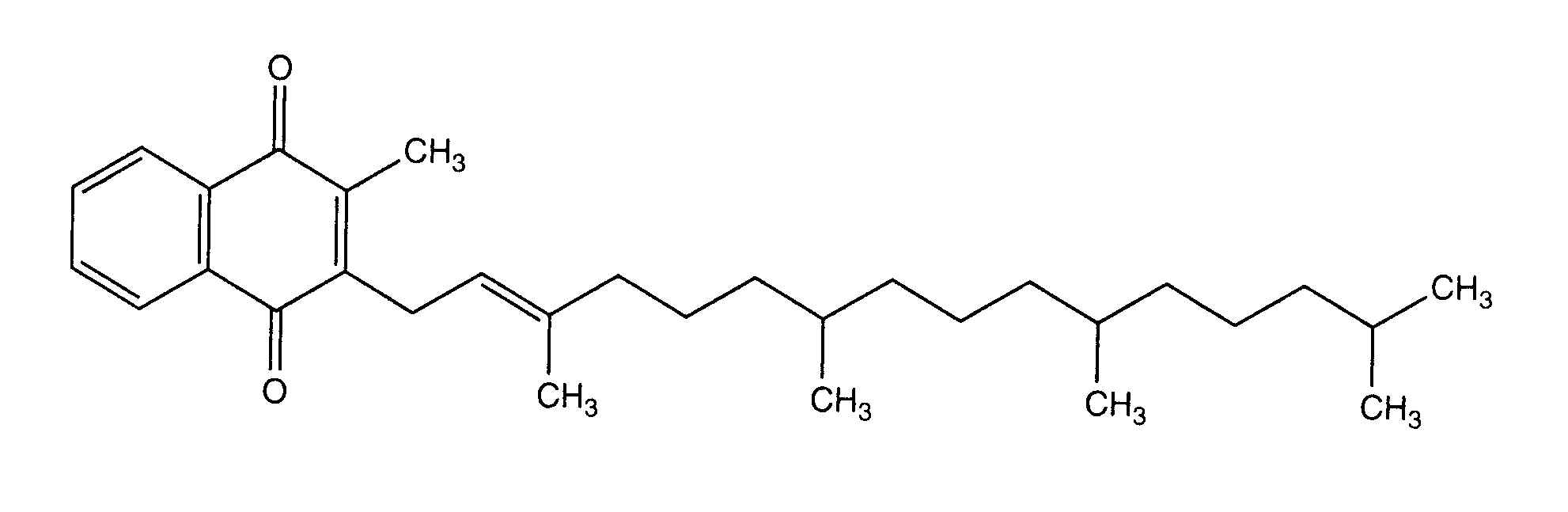
   Cheminė sandara  

Prekinis pavadinimas   Prekinis pavadinimas     

Trade names are indicative and excipients composition can be different depending on the country and manufacturers

Adcokion Egiptas
Amidalak Meksikas
Amri-K Egiptas
Aquamephyton Jungtinės Amerikos Valstijos
Epikavit Egiptas
Haemokion Egiptas
Hyvit Brazilija
Kanakion Brazilija, Portugalija
Kavit Brazilija
Kenadion Indija
Kisan Malaizija
Konakion Airija, Argentina, Austrija, Belgija, Čilė, Danija, Didžioji Britanija, Egiptas, Ekvadoras, Graikija, Islandija, Ispanija, Italija, Jungtiniai Arabų Emyratai, Kolumbija, Kroatija, Lenkija, Liuksemburgas, Marokas, Naujojoje Zelandijoje, Norvegija, Olandija, Saudo Arabija, Suomija, Švedija, Šveicarija, Turkija, Vengrija, Vokietija
Oskavit Iranas
Rupek Argentina
Vikadic Iranas
Vitatron Brazilija
Mišinių stabilumas   Įpurškimas   Mišinių stabilumas : Phytomenadione     
Nėra duomenų

  Mentions Légales