Dernière mise à jour :
27/01/2026
Vitamine   Phytomenadione  
injectable
Solution buvable
Stabilité des solutions Stabilité en mélange Facteur influençant la stabilité Compatibilités Voie d’administration Bibliographie pdf
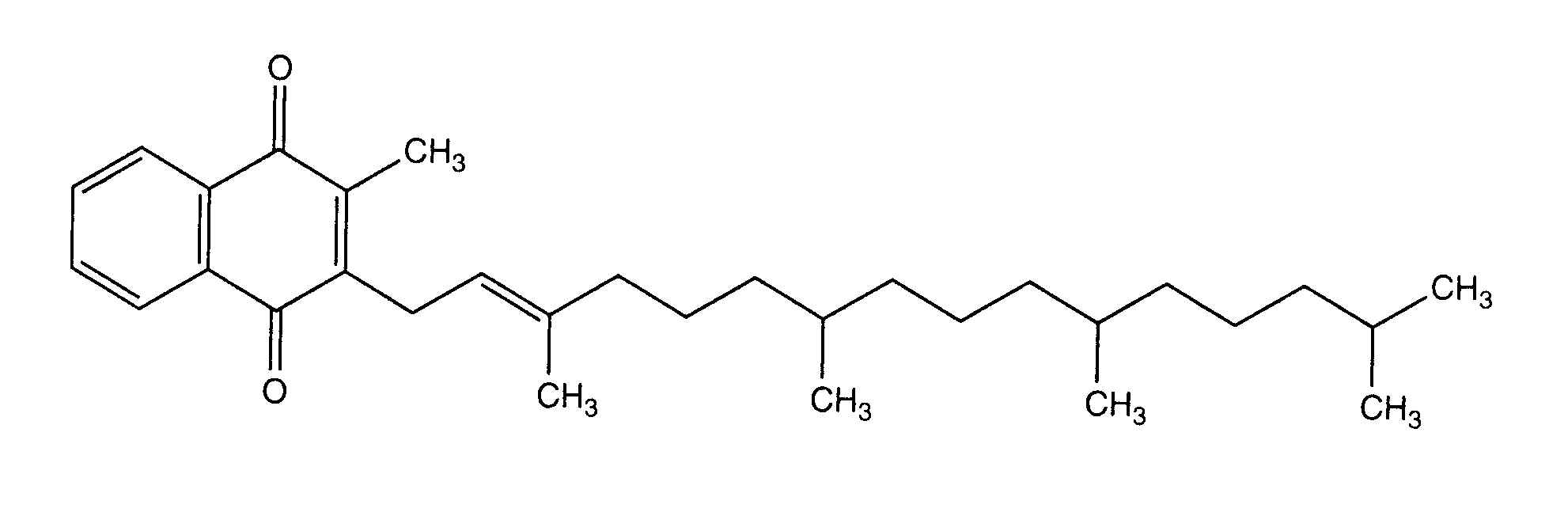
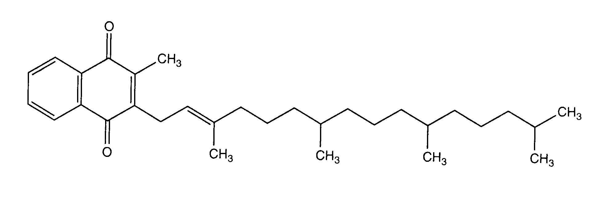
   Structure chimique  

Noms commerciaux   Noms commerciaux     

Les noms commerciaux sont donnés à titre indicatif et la composition en excipients peut être différente selon les pays et selon les laboratoires

Adcokion Egypte
Amidalak Mexique
Amri-K Egypte
Aquamephyton Etats Unis d’Amérique
Epikavit Egypte
Haemokion Egypte
Hyvit Brésil
Kanakion Brésil, Portugal
Kavit Brésil
Kenadion Inde
Kisan Malaisie
Konakion Allemagne, Arabie Saoudite, Argentine, Autriche, Belgique, Chili, Colombie, Croatie, Danemark, Egypte, Emirats Arabes Unis , Equateur, Espagne, Finlande, Grande Bretagne, Grèce, Hongrie, Irlande, Islande, Italie, Luxembourg, Maroc, Norvège, Nouvelle Zélande, Pays bas, Pologne, Suède, Suisse, Turquie
Oskavit Iran
Rupek Argentine
Vikadic Iran
Vitatron Brésil
Stabilité en mélange   injectable   Stabilité en mélange : Phytomenadione     
Aucune donnée

  Mentions Légales