Son güncelleme :
27/01/2026
Vitamin   Phytomenadione  
Enjeksiyon
Oral solüsyon / oral çözelti
Çözeltilerin stabilitesi Karışımlardaki stabilitesi Stabiliteyi etkileyen faktörler Uyumluluk Uygulama yöntemi Kaynaklar pdf
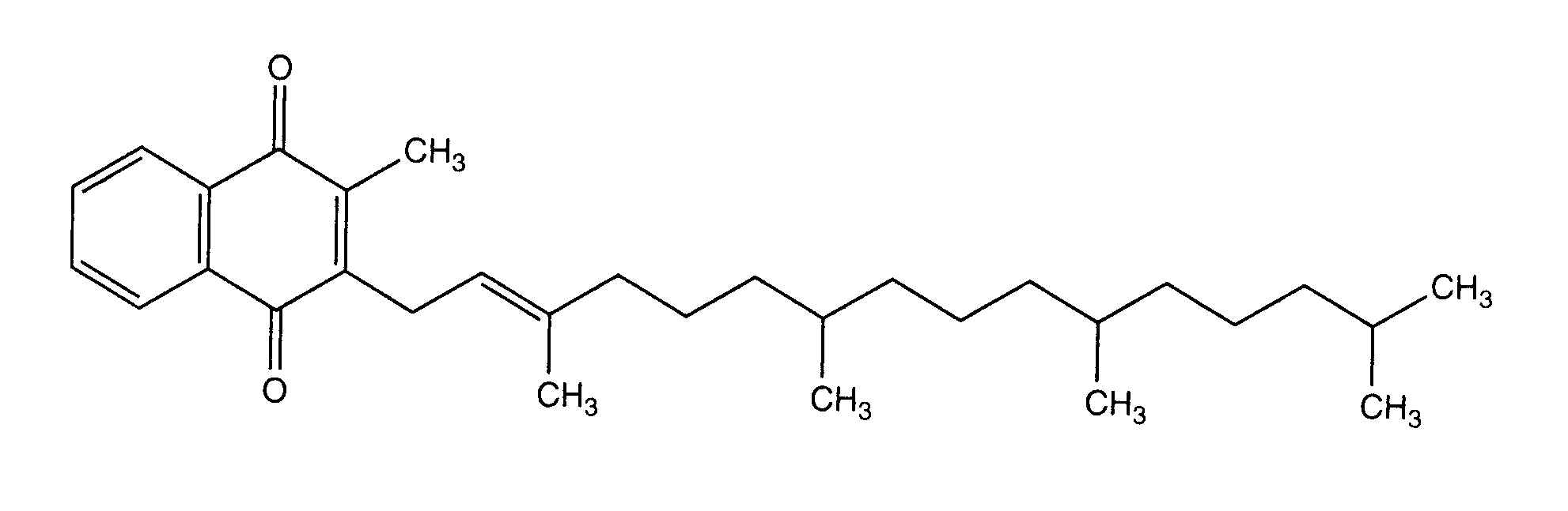
   Kimyasal yapı   

Ticari isim   Ticari isim     

Trade names are indicative and excipients composition can be different depending on the country and manufacturers

Adcokion Mısır
Amidalak Meksika
Amri-K Mısır
Aquamephyton Amerika Birleşik Devletleri
Epikavit Mısır
Haemokion Mısır
Hyvit Brezilya
Kanakion Brezilya, Portekiz
Kavit Brezilya
Kenadion Hindistan
Kisan Malezya
Konakion Almanya, Arjantin, Avusturya, Belçika, Birleşik Arap Emirlikleri, Büyük Britanya, Danimarka, Ekvador, Fas, Finlandiya, Hırvatistan, Hollanda, İrlanda, İspanya, İsveç, İsviçre, İtalya, İzlanda, Kolombiya, Lüksemburg, Macaristan, Mısır, Norveç, Polonya, Şili, Suudi Arabistan, Türkiye, yeni Zelanda, Yunanistan
Oskavit İran
Rupek Arjantin
Vikadic İran
Vitatron Brezilya

Stabiliteyi etkileyen faktörler    Enjeksiyon    Stabiliteyi etkileyen faktörler : Phytomenadione        
Kaynaklar
Saklama    I_ık İndükler Parçalanma 951

  Mentions Légales