Siste oppdatering :
27/01/2026
Vitamin   Phytomenadione  
Injeksjon
Mikstur
Oppløsningsstabilitet Stabilitet i blandinger Faktorer som påvirker stabiliteten Kompatibilitet Administrasjonsmåte Referanser pdf
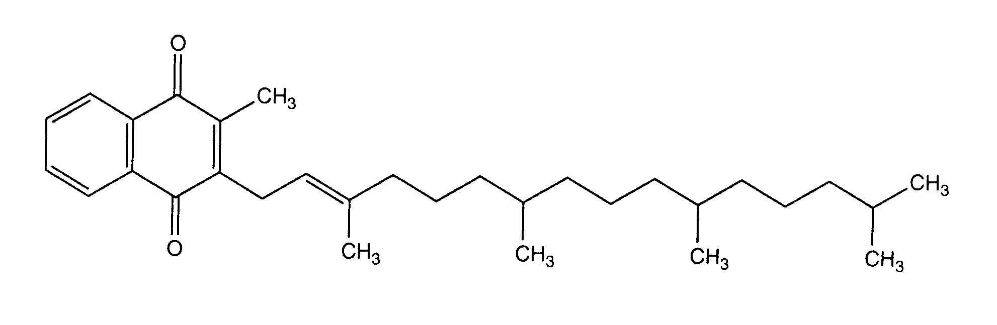
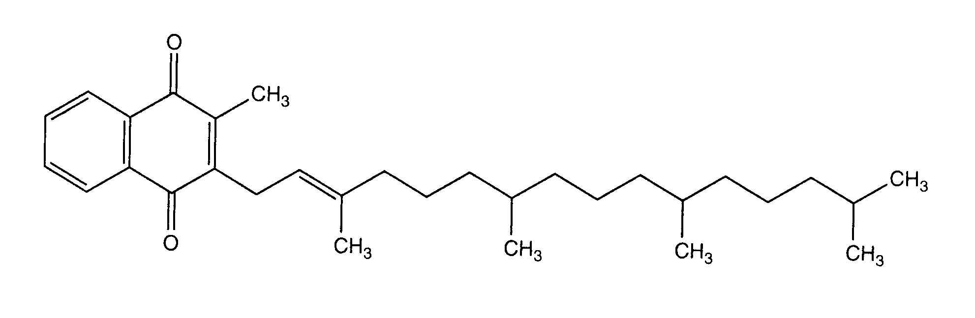
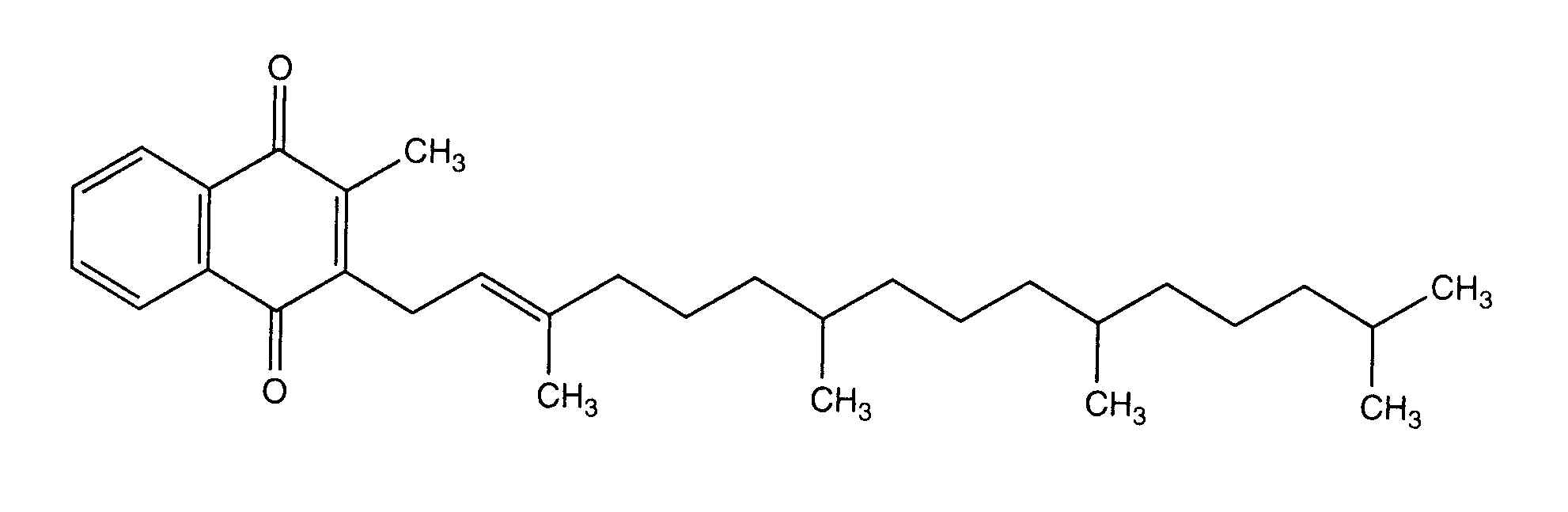
   Kjemisk struktur  

Handelsnavn   Handelsnavn     

Handelsnavn er veiledende og sammensetning av hjelpestoffer kan være forskjellig avhengig av land og produsent

Adcokion Egypt
Amidalak Mexico
Amri-K Egypt
Aquamephyton USA
Epikavit Egypt
Haemokion Egypt
Hyvit Brasil
Kanakion Brasil, Portugal
Kavit Brasil
Kenadion India
Kisan Malaysia
Konakion Argentina, Belgia, Chile, Colombia, Danmark, De forente arabiske emirater, Ecuador, Egypt, Finland, Hellas, Irland, Island, Italia, Kroatia, Luxembourg, Marokko, Nederland, New Zealand, Norge, Polen, Saudi-Arabia, Spania, Storbritannia, Sveits, Sverige, Tyrkia, Tyskland, Ungarn, Østerrike
Oskavit Iran
Rupek Argentina
Vikadic Iran
Vitatron Brasil

Faktorer som påvirker stabiliteten   Injeksjon   Faktorer som påvirker stabiliteten : Phytomenadione        
Referanser
Oppbevaring Lys Induserer Degradasjon 951

  Mentions Légales