Letztes “update” :
27/01/2026
Vitamin   Phytomenadione  
Injektion
Lösung zum Einnehmen
Stabilität der Lösung Gemengestabilität Stabilitätbeeinflussende Faktoren Kompatibilitäten Applikationsart Literaturverzeichnis pdf
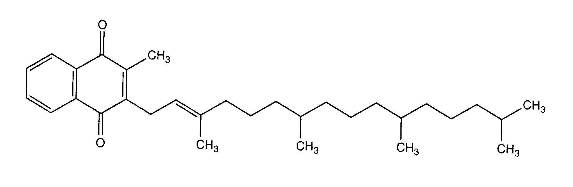
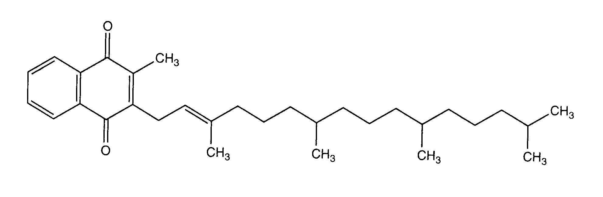
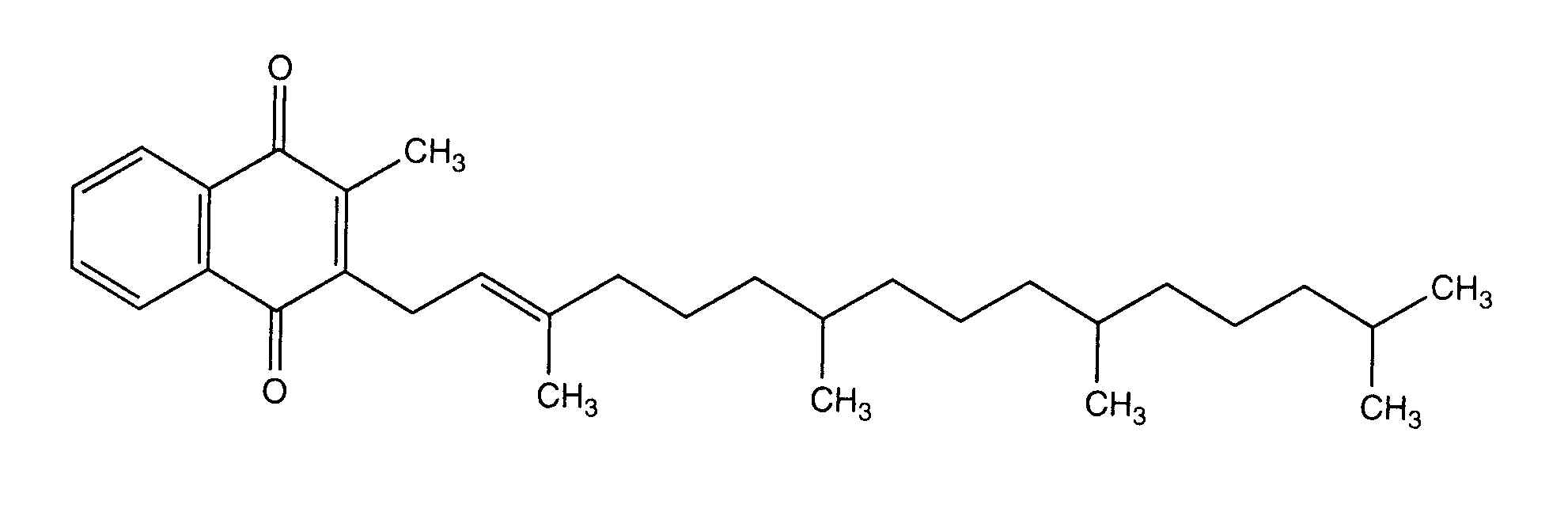
   Chemische Struktur  

Handelsmarke   Handelsmarke     

Handelsnamen sind als beispielhaft anzusehen. Sonstige Bestandteile können je nach Hersteller oder Land verschieden sein

Adcokion Ägypten
Amidalak Mexiko
Amri-K Ägypten
Aquamephyton Vereinigte Staaten von Amerika
Epikavit Ägypten
Haemokion Ägypten
Hyvit Brasilien
Kanakion Brasilien, Portugal
Kavit Brasilien
Kenadion Indien
Kisan Malaysia
Konakion Ägypten, Argentinien, Belgien, Chile, Dänemark, Deutschland, Ecuador, Finnland, Griechenland, Großbritannien, Irland, Island, Italien, Kolumbien, Kroatien, Luxemburg, Marokko, Neuseeland, Niederlande, Norwegen, Österreich, Polen, Saudi-Arabien, Schweden, Schweiz, Spanien, Türkei, Ungarn, Vereinigte Arabische Emirate
Oskavit Iran
Rupek Argentinien
Vikadic Iran
Vitatron Brasilien

Stabilitätbeeinflussende Faktoren   Injektion   Stabilitätbeeinflussende Faktoren : Phytomenadione        
Literaturverzeichnis
Konservierung Licht Führt zu Degradation 951

  Mentions Légales