Cập nhật lần cuối :
27/11/2025
Kháng sinh   Ampicillin sodium - sulbactam sodium  
Dạng tiêm
Tính ổn định của các dung dịch Độ ổn định khi trộn lẫn Những yếu tố ảnh hưởng đến độ ổn định Khả năng tương thích Đường dùng Tài liệu tham khảo Pdf
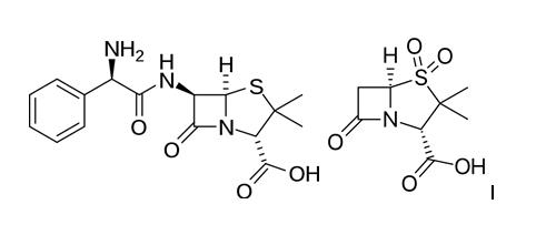
   Cấu trúc hóa học  

Tên thương mại   Tên thương mại     

Các tên thương mại được cung cấp và thành phần tá dược có thể khác nhau giữa các quốc gia và các hãng dược

Alfasid Thổ Nhĩ Kỳ
Ampibac Colombia
Ampibactam Venezuela
Ampicillin sulbactam Úc
Ampicillina sodica - sulbactam Brazil, Ecuador
Ampictam Ả Rập
Ampiplus Ả Rập Saudi, Romania
Ampisid Thổ Nhĩ Kỳ
Ampixim Venezuela
Bacimex Tây Ban Nha
Begalin Hy Lạp
Bethacil Ý
Cinclox Ấn Độ
Combicid Thổ Nhĩ Kỳ
Darzitil Argentina
Duobaktam Thổ Nhĩ Kỳ
Duocid Thổ Nhĩ Kỳ
Galotam Tây Ban Nha
Libractam Chile
Loricin Ý
Prixin Argentina
Ranpisul Mexico
Retarpen Tây Ban Nha
Sabect Ả Rập
Sulamp Colombia
Sulbacter Venezuela
Sulbaksit Thổ Nhĩ Kỳ
Sulbin Ả Rập
Sulcid Thổ Nhĩ Kỳ
Sumitan Colombia, Venezuela
Synerpen Ả Rập
Ultracillin Ả Rập
Unacid Đức
Unacim Pháp
Unasyn Ả Rập, Ả Rập Saudi, Áo, Ba Lan, Brazil, Chile, Colombia, Ecuador, Hoa Kỳ, Hungary, Malaysia, Mexico, Morocco, Nhật, Peru, Tây Ban Nha, Ý, Đức
Unictam Ả Rập
Xilbac Peru
Tính ổn định của các dung dịch   Dạng tiêm   Tính ổn định của các dung dịch : Ampicillin sodium - sulbactam sodium     
Bao bì Dung môi Nồng độ Nhiệt độ Bảo quản Thời gian ổn định Mục lục
Nhựa polyvinyl chloride NaCl 0,9% 20 mg/ml 24°C Không rõ
24 Giờ
258
Cấp độ bằng chứng D

Nhựa polyvinyl chloride NaCl 0,9% 20 mg/ml 5°C Không rõ
60 Giờ
258
Cấp độ bằng chứng D


  Mentions Légales