Poslední aktualizace :
27/04/2026
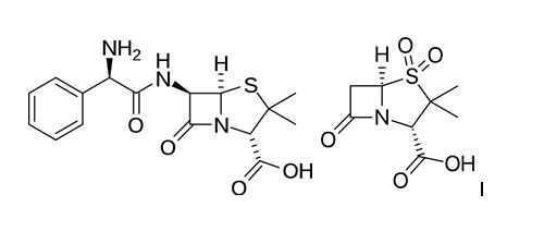
Antibiotikum   Ampicillin sodium - sulbactam sodium  
injekce
Stabilita roztoků Stabilita směsí Faktory ovlivňující stabilitu Kompatibilita Způsoby aplikace Odkazy pdf
   Chemický vzorec  

Obchodní název   Obchodní název     

Trade names are indicative and excipients composition can be different depending on the country and manufacturers

Alfasid Turecko
Ampibac Kolumbie
Ampibactam Venezuela
Ampicillin sulbactam Austrálie
Ampicillina sodica - sulbactam BrazÌlie, Ekvádor
Ampictam Egypt
Ampiplus Rumunsko, Saúdská Arábie
Ampisid Turecko
Ampixim Venezuela
Bacimex äpanÏlsko
Begalin ÿecko
Bethacil Itálie
Cinclox Indie
Combicid Turecko
Darzitil Argentina
Duobaktam Turecko
Duocid Turecko
Galotam äpanÏlsko
Libractam Chile
Loricin Itálie
Prixin Argentina
Ranpisul Mexiko
Retarpen äpanÏlsko
Sabect Egypt
Sulamp Kolumbie
Sulbacter Venezuela
Sulbaksit Turecko
Sulbin Egypt
Sulcid Turecko
Sumitan Kolumbie, Venezuela
Synerpen Egypt
Ultracillin Egypt
Unacid NÏmecko
Unacim Francie
Unasyn äpanÏlsko, BrazÌlie, Chile, Egypt, Ekvádor, Itálie, Japonsko, Kolumbie, Malajsie, MaÔarsko, Maroko, Mexiko, NÏmecko, Peru, Polsko, Rakousko, Saúdská Arábie, USA
Unictam Egypt
Xilbac Peru
Stabilita roztoků   injekce   Stabilita roztoků : Ampicillin sodium - sulbactam sodium     
Obal RozpouötÏdlo Koncentrace Teplota Uchovávání Trvání stability Odkazy
Polyvinyl chlorid Chlorid sodný 0,9% 20 mg/ml 24°C Nespecifikováno
24 Hodina
258
Úroveň zkoušky D

Polyvinyl chlorid Chlorid sodný 0,9% 20 mg/ml 5°C Nespecifikováno
60 Hodina
258
Úroveň zkoušky D


  Mentions Légales