Siste oppdatering :
27/04/2026
Antibiotika   Ampicillin sodium - sulbactam sodium  
Injeksjon
Oppløsningsstabilitet Stabilitet i blandinger Faktorer som påvirker stabiliteten Kompatibilitet Administrasjonsmåte Referanser pdf
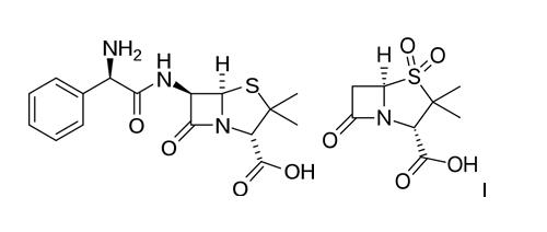
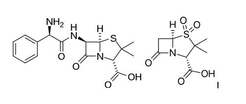
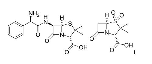
   Kjemisk struktur  

Handelsnavn   Handelsnavn     

Handelsnavn er veiledende og sammensetning av hjelpestoffer kan være forskjellig avhengig av land og produsent

Alfasid Tyrkia
Ampibac Colombia
Ampibactam Venezuela
Ampicillin sulbactam Australia
Ampicillina sodica - sulbactam Brasil, Ecuador
Ampictam Egypt
Ampiplus Romania, Saudi-Arabia
Ampisid Tyrkia
Ampixim Venezuela
Bacimex Spania
Begalin Hellas
Bethacil Italia
Cinclox India
Combicid Tyrkia
Darzitil Argentina
Duobaktam Tyrkia
Duocid Tyrkia
Galotam Spania
Libractam Chile
Loricin Italia
Prixin Argentina
Ranpisul Mexico
Retarpen Spania
Sabect Egypt
Sulamp Colombia
Sulbacter Venezuela
Sulbaksit Tyrkia
Sulbin Egypt
Sulcid Tyrkia
Sumitan Colombia, Venezuela
Synerpen Egypt
Ultracillin Egypt
Unacid Tyskland
Unacim Frankrike
Unasyn Brasil, Chile, Colombia, Ecuador, Egypt, Italia, Japan, Malaysia, Marokko, Mexico, Peru, Polen, Saudi-Arabia, Spania, Tyskland, Ungarn, USA, Østerrike
Unictam Egypt
Xilbac Peru
Oppløsningsstabilitet   Injeksjon   Oppløsningsstabilitet : Ampicillin sodium - sulbactam sodium     
Beholder Oppløsningsmiddel Konsentrasjon Temperatur Oppbevaring Varighet av stabilitet Referanser
Polyvinylklorid Natriumklorid 0,9 % 20 mg/ml 24°C Ikke angitt
24 Tid
258
Bevisgrad D

Polyvinylklorid Natriumklorid 0,9 % 20 mg/ml 5°C Ikke angitt
60 Tid
258
Bevisgrad D


  Mentions Légales