Son güncelleme :
27/04/2026
Antibiyotik   Ampicillin sodium - sulbactam sodium  
Enjeksiyon
Çözeltilerin stabilitesi Karışımlardaki stabilitesi Stabiliteyi etkileyen faktörler Uyumluluk Uygulama yöntemi Kaynaklar pdf
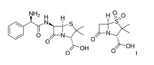
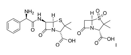
   Kimyasal yapı   

Ticari isim   Ticari isim     

Trade names are indicative and excipients composition can be different depending on the country and manufacturers

Alfasid Türkiye
Ampibac Kolombiya
Ampibactam Venezuela
Ampicillin sulbactam Avustralya
Ampicillina sodica - sulbactam Brezilya, Ekvador
Ampictam Mısır
Ampiplus Romanya, Suudi Arabistan
Ampisid Türkiye
Ampixim Venezuela
Bacimex İspanya
Begalin Yunanistan
Bethacil İtalya
Cinclox Hindistan
Combicid Türkiye
Darzitil Arjantin
Duobaktam Türkiye
Duocid Türkiye
Galotam İspanya
Libractam Şili
Loricin İtalya
Prixin Arjantin
Ranpisul Meksika
Retarpen İspanya
Sabect Mısır
Sulamp Kolombiya
Sulbacter Venezuela
Sulbaksit Türkiye
Sulbin Mısır
Sulcid Türkiye
Sumitan Kolombiya, Venezuela
Synerpen Mısır
Ultracillin Mısır
Unacid Almanya
Unacim Fransa
Unasyn Almanya, Amerika Birleşik Devletleri, Avusturya, Brezilya, Ekvador, Fas, İspanya, İtalya, Japonya, Kolombiya, Macaristan, Malezya, Meksika, Mısır, Peru, Polonya, Şili, Suudi Arabistan
Unictam Mısır
Xilbac Peru
Karışımlardaki stabilitesi   Enjeksiyon    Karışımlardaki stabilitesi : Ampicillin sodium - sulbactam sodium     

  Mentions Légales