Pēdējā atjaunošana :
27/04/2026
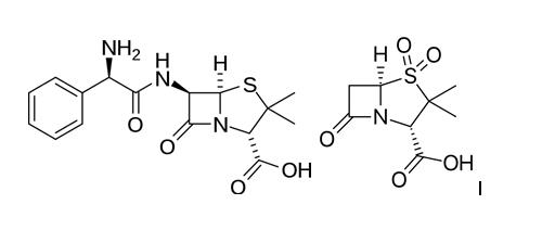
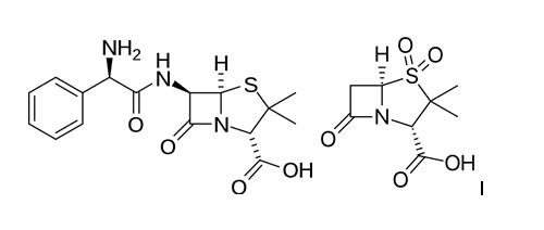
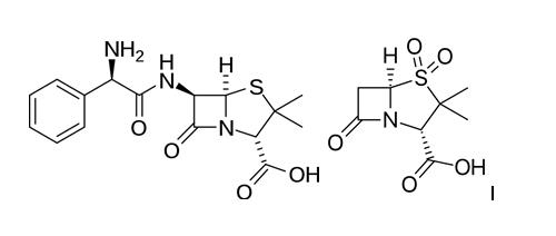
Antibiotika   Ampicillin sodium - sulbactam sodium  
Injekcija
Šķīduma stabilitāte Maisījuma stabilitāte Stabilitāti ietekmējoši faktori Saderība Levadīšanas veids Literatūras saraksts pdf
   Ķīmiskā uzbūve   

Oriģinālais nosaukums   Oriģinālais nosaukums     

Tirdzniecības nosaukumi ir apzīmējoši un palīgvielas var atšķirties dažādām valstīm un laboratorijām

Alfasid Turcija
Ampibac Kolumbija
Ampibactam Venecuēla
Ampicillin sulbactam Austrālija
Ampicillina sodica - sulbactam Brazīlija, Ekvadora
Ampictam Ēģipte
Ampiplus Rumānija, Saūda Arābija
Ampisid Turcija
Ampixim Venecuēla
Bacimex Spānija
Begalin Grieķija
Bethacil Itālija
Cinclox Indija
Combicid Turcija
Darzitil Argentīna
Duobaktam Turcija
Duocid Turcija
Galotam Spānija
Libractam Čīle
Loricin Itālija
Prixin Argentīna
Ranpisul Meksika
Retarpen Spānija
Sabect Ēģipte
Sulamp Kolumbija
Sulbacter Venecuēla
Sulbaksit Turcija
Sulbin Ēģipte
Sulcid Turcija
Sumitan Kolumbija, Venecuēla
Synerpen Ēģipte
Ultracillin Ēģipte
Unacid Vācija
Unacim Francija
Unasyn Amerikas Savienotās Valstis, Austrija, Brazīlija, Čīle, Ēģipte, Ekvadora, Itālija, Japāna, Kolumbija, Malaizija, Maroka, Meksika, Peru, Polija, Saūda Arābija, Spānija, Ungārija, Vācija
Unictam Ēģipte
Xilbac Peru
Maisījuma stabilitāte   Injekcija   Maisījuma stabilitāte : Ampicillin sodium - sulbactam sodium     

  Mentions Légales