Laatste update :
27/04/2026
Antibioticum   Ampicillin sodium - sulbactam sodium  
injecteerbaar geneesmiddel
Stabiliteit in oplossing Stabiliteit in mengsels Factoren die de stabiliteit beïnvloeden Verenigbaarheden Toedieningswijze Literatuur pdf
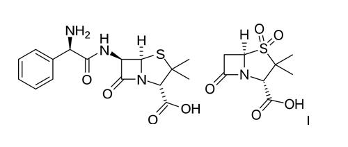
   Molecuulstructuur  

Merknamen in verschillende landen   Merknamen in verschillende landen     

Handelsnamen zijn slechts een indicatie; de samenstelling van hulpstoffen kan per land variëren afhankelijk van de fabrikant

Alfasid Turkije
Ampibac Colombia
Ampibactam Venezuela
Ampicillin sulbactam Australië
Ampicillina sodica - sulbactam Brazilië, Ecuador
Ampictam Egypte
Ampiplus Roemenië, Saudi-Arabië
Ampisid Turkije
Ampixim Venezuela
Bacimex Spanje
Begalin Griekenland
Bethacil Italië
Cinclox Indië
Combicid Turkije
Darzitil Argentinië
Duobaktam Turkije
Duocid Turkije
Galotam Spanje
Libractam Chili
Loricin Italië
Prixin Argentinië
Ranpisul Mexico
Retarpen Spanje
Sabect Egypte
Sulamp Colombia
Sulbacter Venezuela
Sulbaksit Turkije
Sulbin Egypte
Sulcid Turkije
Sumitan Colombia, Venezuela
Synerpen Egypte
Ultracillin Egypte
Unacid Duitsland
Unacim Frankrijk
Unasyn Brazilië, Chili, Colombia, Duitsland, Ecuador, Egypte, Hongarije, Italië, Japan, Maleisië, Marokko, Mexico, Oostenrijk, Peru, Polen, Saudi-Arabië, Spanje, USA
Unictam Egypte
Xilbac Peru

Factoren die de stabiliteit beïnvloeden   injecteerbaar geneesmiddel   Factoren die de stabiliteit beïnvloeden : Ampicillin sodium - sulbactam sodium        

  Mentions Légales