Ultimo aggiornamento :
27/04/2026
Antibiotico   Ampicillin sodium - sulbactam sodium  
Iniezione
Stabilità in soluzione Stabilità in miscela Fattori che influenzano la stabilità Compatibilità metodo di iniezione Bibliografia pdf
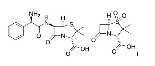
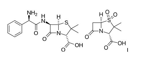
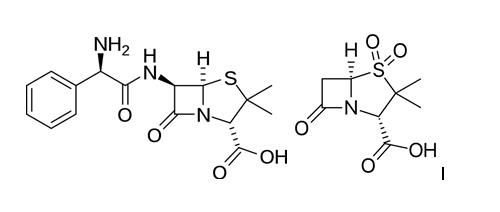
   Struttura chimica  

Nome commerciale   Nome commerciale     

Trade names are indicative and excipients composition can be different depending on the country and manufacturers

Alfasid Turchia
Ampibac Colombia
Ampibactam Venezuela
Ampicillin sulbactam Australia
Ampicillina sodica - sulbactam Brasile, Ecuador
Ampictam Egitto
Ampiplus Arabia Saudita, Romania
Ampisid Turchia
Ampixim Venezuela
Bacimex Spagna
Begalin Grecia
Bethacil Italia
Cinclox India
Combicid Turchia
Darzitil Argentina
Duobaktam Turchia
Duocid Turchia
Galotam Spagna
Libractam Chile
Loricin Italia
Prixin Argentina
Ranpisul Messico
Retarpen Spagna
Sabect Egitto
Sulamp Colombia
Sulbacter Venezuela
Sulbaksit Turchia
Sulbin Egitto
Sulcid Turchia
Sumitan Colombia, Venezuela
Synerpen Egitto
Ultracillin Egitto
Unacid Germania
Unacim Francia
Unasyn Arabia Saudita, Austria, Brasile, Chile, Colombia, Ecuador, Egitto, Germania, Giappone, Italia, Malaysia, Marocco, Messico, Perù, Polonia, Spagna, Stati Uniti d’America, Ungheria
Unictam Egitto
Xilbac Perù

Fattori che influenzano la stabilità   Iniezione   Fattori che influenzano la stabilità : Ampicillin sodium - sulbactam sodium        

  Mentions Légales