Zadnji put ažurirano :
27/04/2026
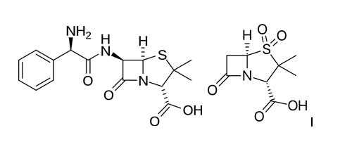
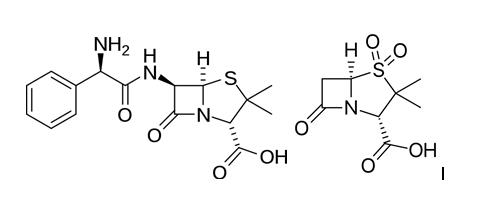
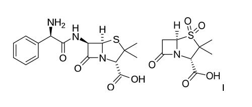
antibiotik   Ampicillin sodium - sulbactam sodium  
injekcija
Stabilizacija rješenja Stabilnost mješavine Stabilizacijski faktor Kompatibilnosti način davanja lijeka Bibliografija pdf
   Kemijska struktura  

Nekomercijalni   Nekomercijalni     

Zaštićeni nazivi su indikativni i sastav ekscipijensa može biti različit ovisno o državi i laboratorijima

Alfasid Turska
Ampibac Kolumbija
Ampibactam Venecuela
Ampicillin sulbactam Australija
Ampicillina sodica - sulbactam Brazil, Ekvador
Ampictam Egipat
Ampiplus Rumunjska, Saudijska Arabija
Ampisid Turska
Ampixim Venecuela
Bacimex Španjolska
Begalin Grčka
Bethacil Italija
Cinclox Indija
Combicid Turska
Darzitil Argentina
Duobaktam Turska
Duocid Turska
Galotam Španjolska
Libractam Čile
Loricin Italija
Prixin Argentina
Ranpisul Meksiko
Retarpen Španjolska
Sabect Egipat
Sulamp Kolumbija
Sulbacter Venecuela
Sulbaksit Turska
Sulbin Egipat
Sulcid Turska
Sumitan Kolumbija, Venecuela
Synerpen Egipat
Ultracillin Egipat
Unacid Njemačka
Unacim Francuska
Unasyn Austrija, Brazil, Čile, Egipat, Ekvador, Italija, Japan, Kolumbija, Madžarska, Malezija, Maroko, Meksiko, Njemačka, Peru, Poljska, S A D, Saudijska Arabija, Španjolska
Unictam Egipat
Xilbac Peru

Stabilizacijski faktor   injekcija   Stabilizacijski faktor : Ampicillin sodium - sulbactam sodium        

  Mentions Légales