Last update :
27/04/2026
Antibiotic   Ampicillin sodium - sulbactam sodium  
injection
Stability in solutions Stability of mixtures Factors which affect stability Compatibility Route of administration References pdf
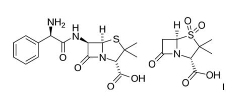
   Chemical structure  

Tradename   Tradename     

Trade names are indicative and excipients composition can be different depending on the country and manufacturers

Alfasid Turkey
Ampibac Colombia
Ampibactam Venezuela
Ampicillin sulbactam Australia
Ampicillina sodica - sulbactam Brazil, Ecuador
Ampictam Egypt
Ampiplus Romania, Saudi Arabia
Ampisid Turkey
Ampixim Venezuela
Bacimex Spain
Begalin Greece
Bethacil Italy
Cinclox India
Combicid Turkey
Darzitil Argentina
Duobaktam Turkey
Duocid Turkey
Galotam Spain
Libractam Chile
Loricin Italy
Prixin Argentina
Ranpisul Mexico
Retarpen Spain
Sabect Egypt
Sulamp Colombia
Sulbacter Venezuela
Sulbaksit Turkey
Sulbin Egypt
Sulcid Turkey
Sumitan Colombia, Venezuela
Synerpen Egypt
Ultracillin Egypt
Unacid Germany
Unacim France
Unasyn Austria, Brazil, Chile, Colombia, Ecuador, Egypt, Germany, Hungary, Italy, Japan, Malaysia, Mexico, Morocco, Peru, Poland, Saudi Arabia, Spain, United States of America
Unictam Egypt
Xilbac Peru

Factors which affect stability   injection   Factors which affect stability : Ampicillin sodium - sulbactam sodium        

  Mentions Légales