Última actualización :
27/04/2026
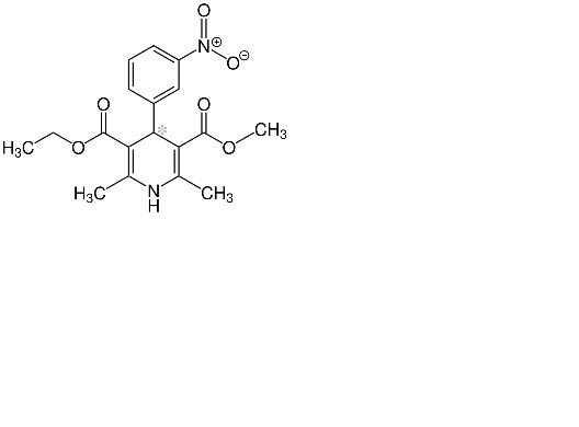
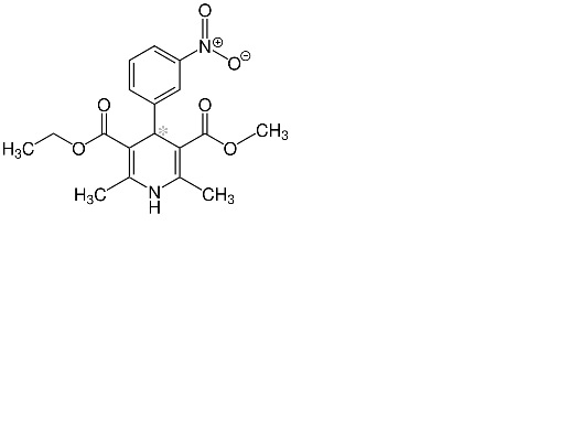
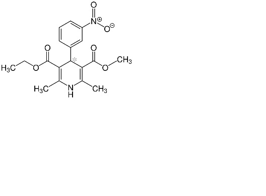
Antihipertensor   Nitrendipine  
Solución Oral
La estabilidad de las preparaciones farmacéuticas Estabilidad en mezcla Factores que influyen sobre la estabilidad Compatibilidades Bibliografía pdf
   Estructura química  

Solución Oral
Compatibilidades   Solución Oral   Compatibilidades : Nitrendipine              
Ausencia de datos

  Mentions Légales