zadnja posodobitev :
27/04/2026
Antihipertenziv   Nitrendipine  
Peroralna raztopina
Stabilnost farmacevtskih preparatov Stabilnost mešanice Faktorji, ki vplivajo na stabilnost Kompatibilnost Viri pdf
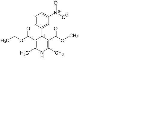
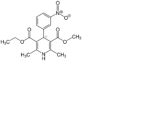
   Kemična formula  

Peroralna raztopina
Kompatibilnost   Peroralna raztopina   Kompatibilnost : Nitrendipine              
ni podatka

  Mentions Légales