Zadnji put ažurirano :
27/04/2026
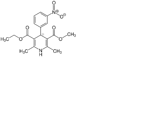
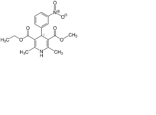
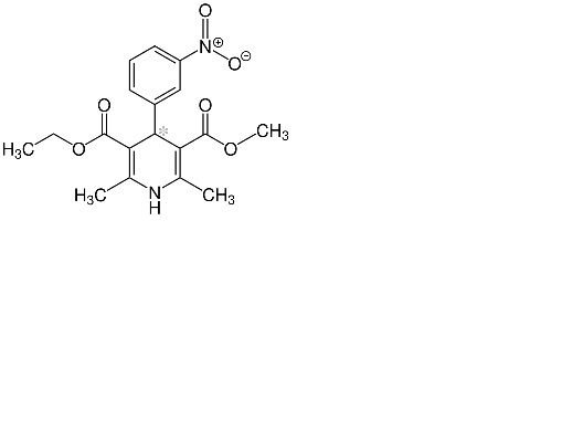
antihipertenzor   Nitrendipine  
oralna otopina
Stabilnost farmaceutskih pripravaka Stabilnost mješavine Stabilizacijski faktor Kompatibilnosti Bibliografija pdf
   Kemijska struktura  

oralna otopina
Kompatibilnosti   oralna otopina     Kompatibilnosti : Nitrendipine              
bez podataka

  Mentions Légales