Ostatnia aktualizacja :
27/04/2026
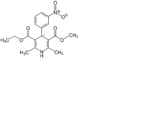
Lek przeciwnadciśnieniowy   Nitrendipine  
Roztwór doustny
Stabilność preparatów farmaceutycznych Trwałość w mieszaninie Czynnik wpływający na trwałość Zgodność Bibliografia pdf
   Struktura chemiczna  

Roztwór doustny
Zgodność   Roztwór doustny   Zgodność : Nitrendipine              
Brak danych

  Mentions Légales