Son güncelleme :
27/01/2026
Antibiyotik   Colistin sulfate  
Oral solüsyon / oral çözelti
Farmasötik preparatlar Kararlılığı Karışımlardaki stabilitesi Stabiliteyi etkileyen faktörler Uyumluluk Kaynaklar pdf
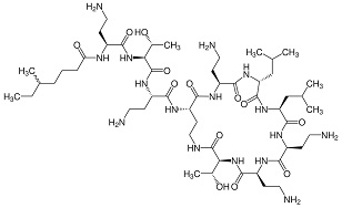
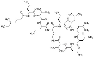
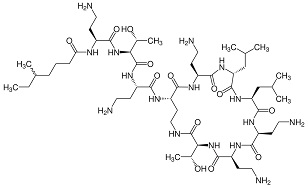
   Kimyasal yapı   

Oral solüsyon / oral çözelti
Kaynaklar   Oral solüsyon / oral çözelti   Kaynaklar : Colistin sulfate  
tip yayın
3685 Dergi Pfeifer C, Noll S, Gerecke H, Fassauer G, Jira T, Remane Y , Vogel J, Frontini R, Reinhardt R.
A stability study of amphotericin B, colistin and tobramycin in a hydrophilic suspension commonly used for selective decontamination of the digestive tract by HPLC and in vitro potency measurements.
EJHP 2017 ; 24:4 : 235-241

  Mentions Légales