Poslední aktualizace :
27/01/2026
Antibiotikum   Colistin sulfate  
Perorální roztok
Stabilita farmaceutických přípravků Stabilita směsí Faktory ovlivňující stabilitu Kompatibilita Odkazy pdf
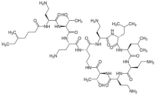
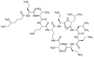
   Chemický vzorec  

Perorální roztok
Odkazy   Perorální roztok   Odkazy : Colistin sulfate  
typ uveřejnění
3685 noviny Pfeifer C, Noll S, Gerecke H, Fassauer G, Jira T, Remane Y , Vogel J, Frontini R, Reinhardt R.
A stability study of amphotericin B, colistin and tobramycin in a hydrophilic suspension commonly used for selective decontamination of the digestive tract by HPLC and in vitro potency measurements.
EJHP 2017 ; 24:4 : 235-241

  Mentions Légales