Poslední aktualizace :
27/01/2026
Priešepilepsinis vaistas   Topiramate  
Geriamas tirpalas
Stabilumas farmacinių preparatų Mišinių stabilumas Stabilumą lemiantys veiksniai Suderinamumas Bibliografija pdf
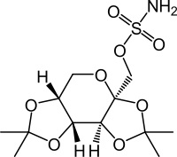
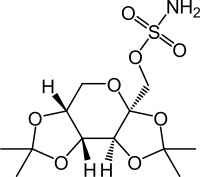
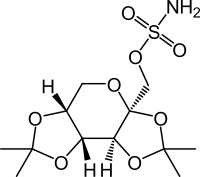
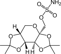
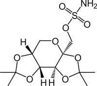
   Cheminė sandara  

Geriamas tirpalas
Mišinių stabilumas   Geriamas tirpalas   Mišinių stabilumas : Topiramate     
Nėra duomenų

  Mentions Légales