zadnja posodobitev :
27/04/2026
Infostab
Seznami
Seznami
Poiščite združljivosti
Tabela združljivosti Y-strani
Viri
raziskovalne skupine
valistab
poster
Povezave
sponzorji
Avtor
Navodilo za uporabo
Newsletter
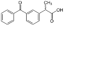
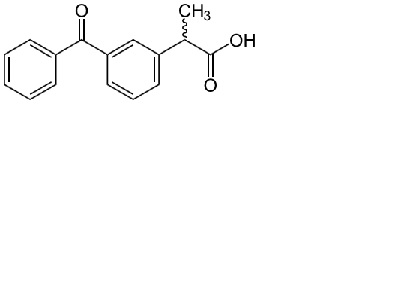
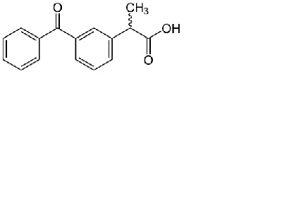
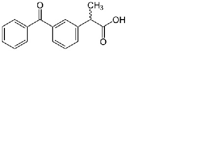
Ketoprofene
Kemična formula
Viri : Ketoprofene
Tip
objava
3971
časopis
Gorman G, Sokom S, Coward L, Arnold J J.
Development and Application of a High-Performance Liquid Chromatography Stability-Indicating Assay for Beyond-Use Date Determination of Compounded Topical Gels Containing Multiple Active Drugs.
Int J Pharm Compound 2017 ; 21, 2 : 164-170.
Mentions Légales