Pēdējā atjaunošana :
27/04/2026
Infostab
Saraksti
Kopsavilkums
Meklēt saderības
Y-savienojuma saderības tabula
Literatūras saraksts
pētniecības grupas
valistab
plakāts
Savienojumi
sponsori
Autori
Lietošanas instrukcija
Newsletter
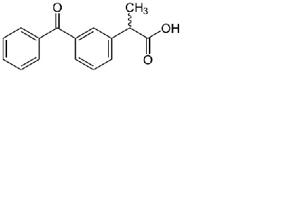
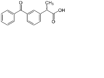
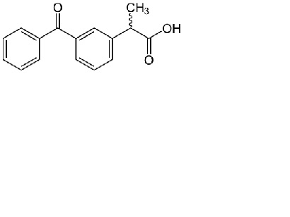
Ketoprofene
Ķīmiskā uzbūve
Literatūras saraksts : Ketoprofene
tips
publicēšana
3971
Žurnāls
Gorman G, Sokom S, Coward L, Arnold J J.
Development and Application of a High-Performance Liquid Chromatography Stability-Indicating Assay for Beyond-Use Date Determination of Compounded Topical Gels Containing Multiple Active Drugs.
Int J Pharm Compound 2017 ; 21, 2 : 164-170.
Mentions Légales