Последно актуализиране :
27/04/2026
Противовъзпалително средство   Ketoprofene  
Унгвент/Унгвенти
Инжекция/Инжекционен Орален разтвор Супозитория
Стабилност на лекарствени препарати Стабилност на смеси Фактори, повлияващи стабилността Съвместимост Библиография Pdf
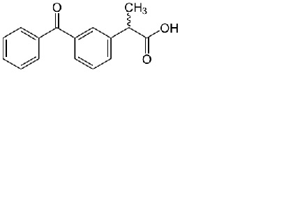
   Химична структура  

Унгвент/Унгвенти
Библиография   Унгвент/Унгвенти   Библиография : Ketoprofene  
Вид Публикация
3971 Списание Gorman G, Sokom S, Coward L, Arnold J J.
Development and Application of a High-Performance Liquid Chromatography Stability-Indicating Assay for Beyond-Use Date Determination of Compounded Topical Gels Containing Multiple Active Drugs.
Int J Pharm Compound 2017 ; 21, 2 : 164-170.

  Mentions Légales