Ostatnia aktualizacja :
27/04/2026
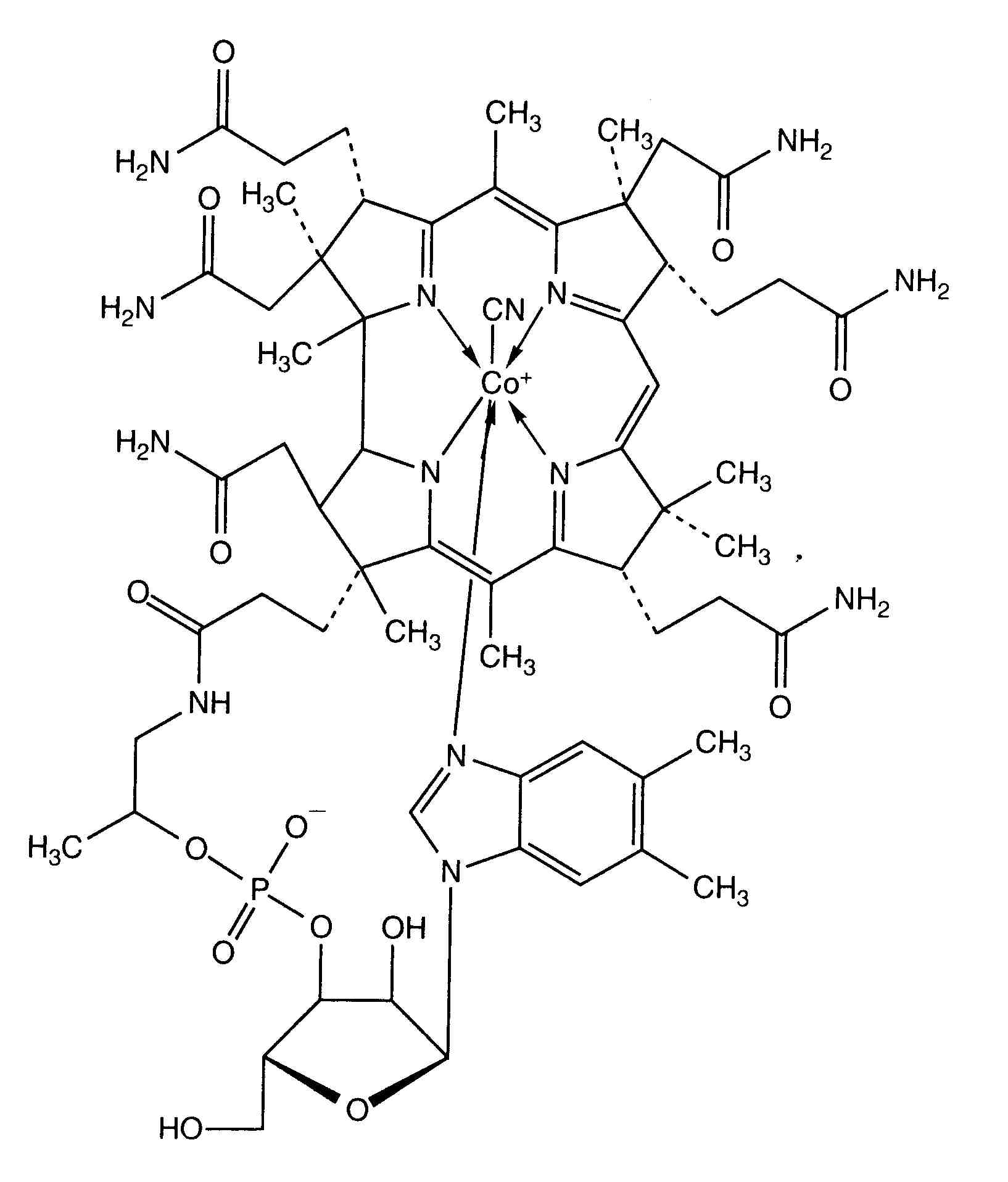
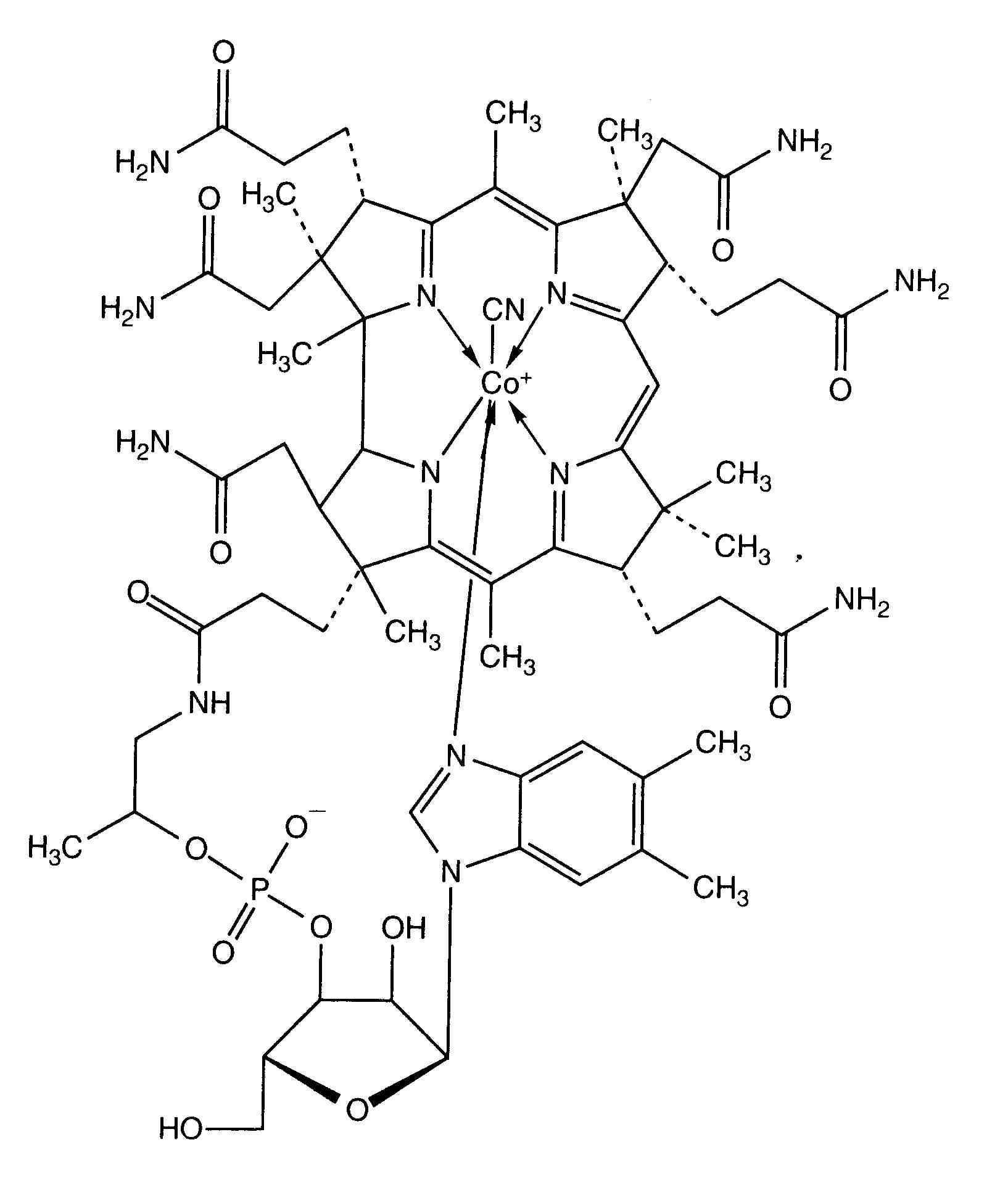
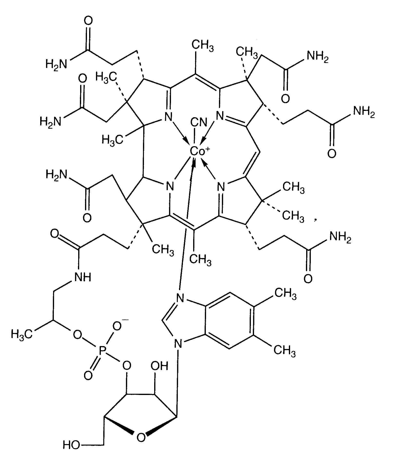
Witamina   Cyanocobalamine  
Injekcje
Trwałość roztworów Trwałość w mieszaninie Czynnik wpływający na trwałość Zgodność Sposób podania Bibliografia pdf
   Struktura chemiczna  

Nazwa handlowa   Nazwa handlowa     

Trade names are indicative and excipients composition can be different depending on the country and manufacturers

Ambe 12 Niemcy
Ambene B Niemcy
B12 Ankermann Niemcy
B12 Asmedic Niemcy
B12 for injection Kanada, Niemcy
B12 Vicotrat Niemcy
Beto 12 Egipt
Betolvex Arabia Saudyjska, Dania, Egipt, Finlandia, Norwegia, Szwajcaria, Szwecja, Zjednoczone Emiraty Arabskie
Bitavion Iran
Cianocobalamina Chile, Ekwador, KolumbiaKolumbia, Wenezuela
Cidulvex Egipt
Citon Indie
Cobal Malezja
Cobex Kanada
Cozamon Wenezuela
Cromatonbic B12 Hiszpania
Cyanocobalamin Egipt, Malezja, nowa Zelandia, Stany Zjednoczone Ameryki
Cyanocobalamine Francja , Malezja
Cyanvit Iran
Cynovit Arabia Saudyjska, Zjednoczone Emiraty Arabskie
Cytamen Australia, Irlandia, Wielka Brytania
Cytobion Arabia Saudyjska, Niemcy
Dobetin Włochy
Dodex Turcja
Droxofor Wenezuela
Duradoce Meksyk
Emicobal Egipt
Hamo Vilobex Niemcy
Hidro Doce 5000 Wenezuela
Ibedox Wenezuela
L Vit 12 Indie
Lifaton B12 Hiszpania
Lophakomp B12 Niemcy
Optovite B12 Hiszpania
Osve Vitamin B12 Iran
Permadoze Portugalia
Reedvit Argentyna
Reiculoger Ekwador, Hiszpania
Rowo Vitamin B12 Niemcy
Rubivamin Egipt, Stany Zjednoczone Ameryki
Vibalmin Iran
Vicapan Niemcy
Viplex B12 Turcja
Vitakobal Turcja
Vitamina B12 Austria, Belgia, Ekwador, Iran, Kanada, KolumbiaKolumbia, Malezja, Maroko, Niemcy, Norwegia, Rumunia, Szwajcaria, Tunisie, Wenezuela, Zjednoczone Emiraty Arabskie
Vitaminum B12 Polska
Vitarubine Szwajcaria
Zgodność   Injekcje   Zgodność : Cyanocobalamine              
Ekran ten wskazuje na kompatybilności lub niezgodności z, w tym przypadku, rodzajem niezgodności (strącanie, zmiana koloru, modyfikacja emulsji, itp.). Przedstawione tutaj kompatybilności są głównie fizyczne, a stabilność chemiczna każdej cząsteczki jest rzadko oceniana. Ocenę tych mieszanin badano w celu rozważenia możliwości podania pacjentowi w miejscu Y. Dane te nie mogą być wykorzystywane do sporządzania mieszanin z wyprzedzeniem w workach lub strzykawkach. Tego typu informacje są dostępne na ekranie „Stabilność w mieszaninie”.
Związek Rozpuszczalnik Bibliografia

  Mentions Légales