Poslední aktualizace :
27/01/2026
Vitaminas   Cyanocobalamine  
Įpurškimas
Tirpalų stabilumas Mišinių stabilumas Stabilumą lemiantys veiksniai Suderinamumas Leidimo būdai Bibliografija pdf
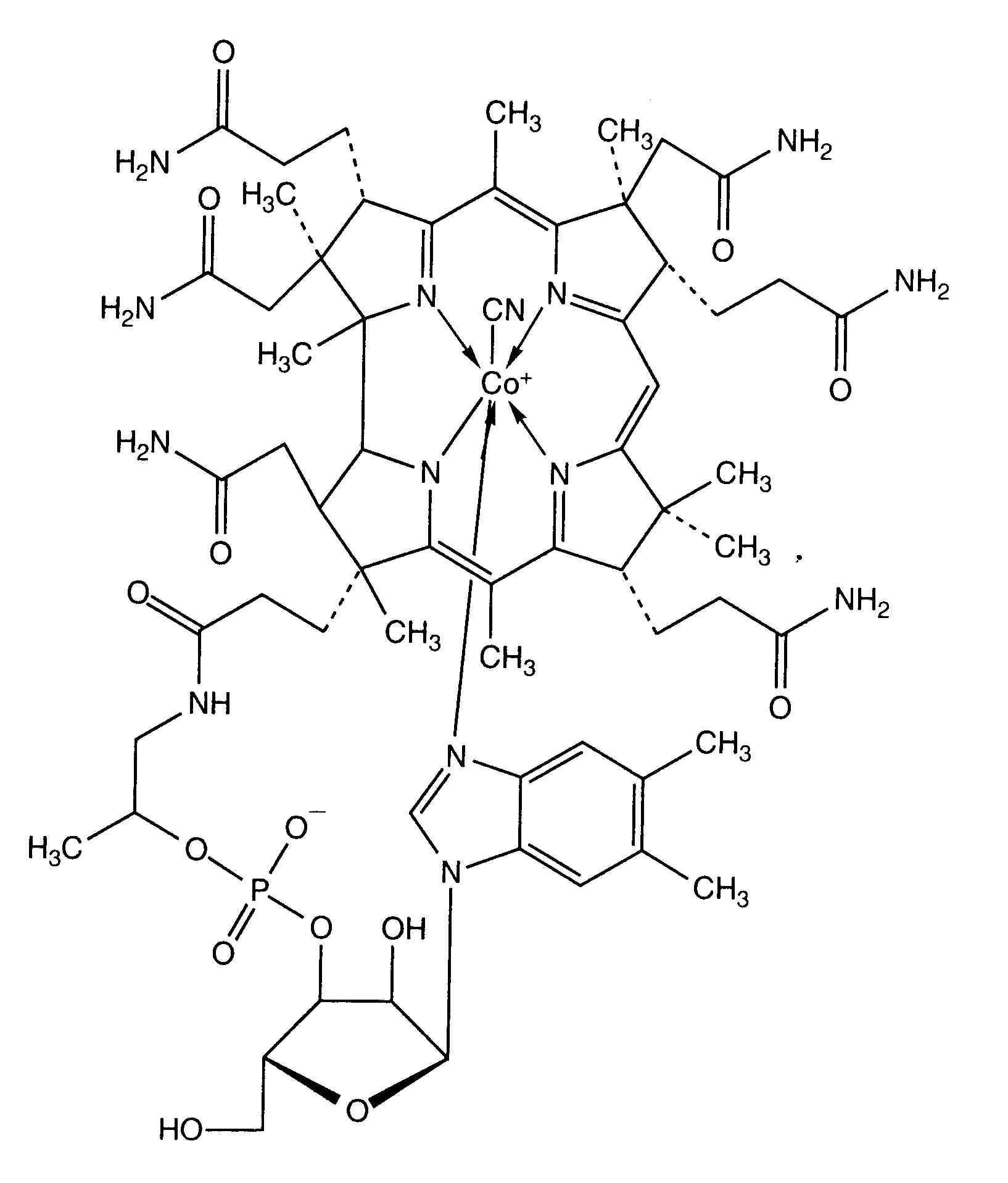
   Cheminė sandara  

Prekinis pavadinimas   Prekinis pavadinimas     

Trade names are indicative and excipients composition can be different depending on the country and manufacturers

Ambe 12 Vokietija
Ambene B Vokietija
B12 Ankermann Vokietija
B12 Asmedic Vokietija
B12 for injection Kanada, Vokietija
B12 Vicotrat Vokietija
Beto 12 Egiptas
Betolvex Danija, Egiptas, Jungtiniai Arabų Emyratai, Norvegija, Saudo Arabija, Suomija, Švedija, Šveicarija
Bitavion Iranas
Cianocobalamina Čilė, Ekvadoras, Kolumbija, Venesuela
Cidulvex Egiptas
Citon Indija
Cobal Malaizija
Cobex Kanada
Cozamon Venesuela
Cromatonbic B12 Ispanija
Cyanocobalamin Egiptas, Jungtinės Amerikos Valstijos, Malaizija, Naujojoje Zelandijoje
Cyanocobalamine Malaizija, Prancūzija
Cyanvit Iranas
Cynovit Jungtiniai Arabų Emyratai, Saudo Arabija
Cytamen Airija, Australija, Didžioji Britanija
Cytobion Saudo Arabija, Vokietija
Dobetin Italija
Dodex Turkija
Droxofor Venesuela
Duradoce Meksikas
Emicobal Egiptas
Hamo Vilobex Vokietija
Hidro Doce 5000 Venesuela
Ibedox Venesuela
L Vit 12 Indija
Lifaton B12 Ispanija
Lophakomp B12 Vokietija
Optovite B12 Ispanija
Osve Vitamin B12 Iranas
Permadoze Portugalija
Reedvit Argentina
Reiculoger Ekvadoras, Ispanija
Rowo Vitamin B12 Vokietija
Rubivamin Egiptas, Jungtinės Amerikos Valstijos
Vibalmin Iranas
Vicapan Vokietija
Viplex B12 Turkija
Vitakobal Turkija
Vitamina B12 Austrija, Belgija, Ekvadoras, Iranas, Jungtiniai Arabų Emyratai, Kanada, Kolumbija, Malaizija, Marokas, Norvegija, Rumunija, Šveicarija, Tunisas, Venesuela, Vokietija
Vitaminum B12 Lenkija
Vitarubine Šveicarija
Suderinamumas   Įpurškimas   Suderinamumas : Cyanocobalamine              

  Mentions Légales