Cập nhật lần cuối :
27/04/2026
Vitamin   Phytomenadione  
Dung dịch uống
Dạng tiêm
Tính ổn định của các chế phẩm Độ ổn định khi trộn lẫn Những yếu tố ảnh hưởng đến độ ổn định Khả năng tương thích Tài liệu tham khảo Pdf
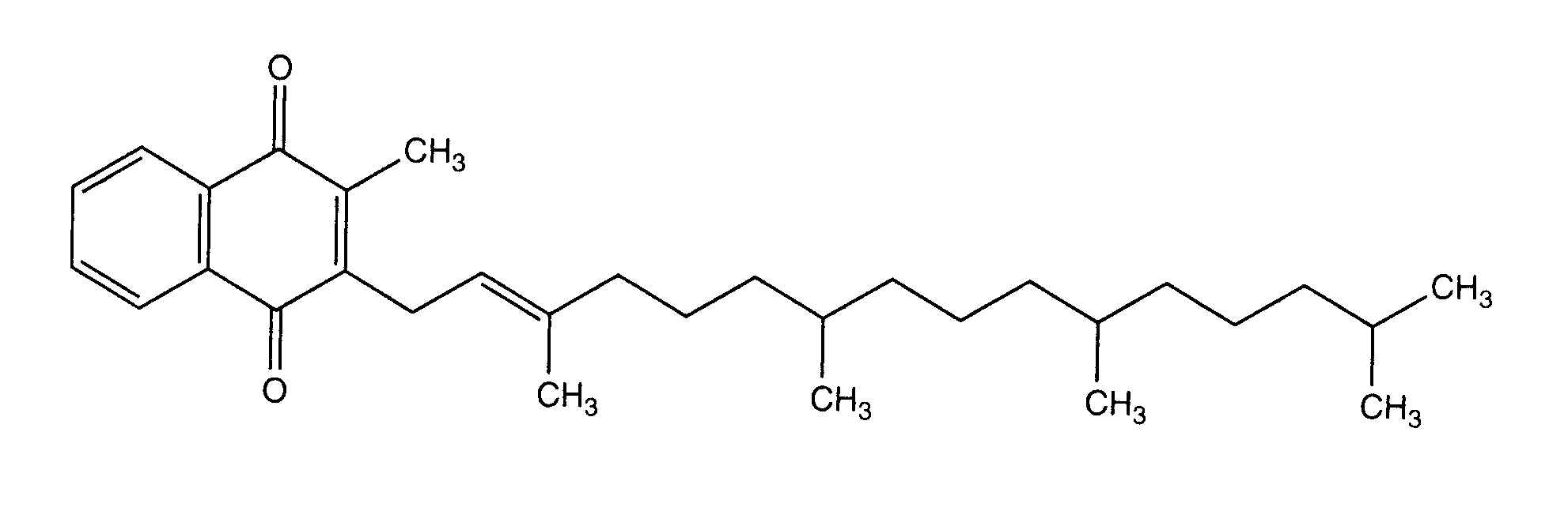
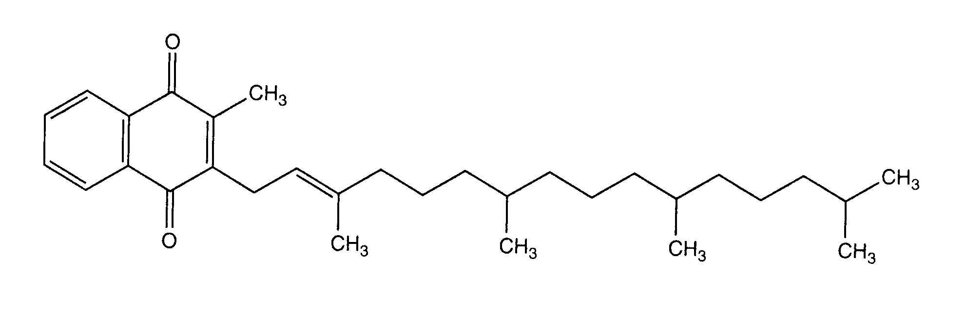
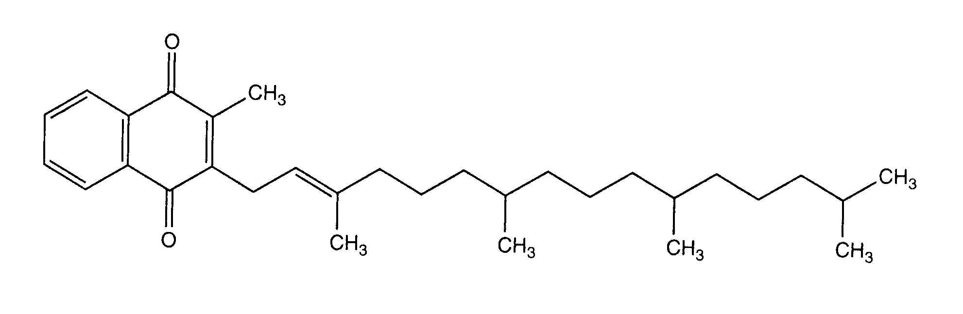
   Cấu trúc hóa học  

Dung dịch uống
Tài liệu tham khảo   Dung dịch uống   Tài liệu tham khảo : Phytomenadione  
Loại Nguồn
2697 Tạp chí Sewell GJ, Palmer AJ.
The formulation and stability of a unit-dose oral vitamin K1 preparation.
J Clin Pharm Ther 1988 ; 13, 1: 73-76.
4140 Tạp chí Huffman J, Brown S, Lewis P, Lawson S, Ogle A, Peacock G.
Comparative Stability of Vitamin K1 Oral Liquids Prepared in Sterile Water for Injection and Stored in Amber Glass Bottles and Amber Plastic Syringes.
Int J Pharm Compound 2018 ;22,4:340-344
4317 Tạp chí Lawson S, Lewis P, Peacock G, Brown S.
Comparative Stability of Oral Vitamin K Liquids Stored in Refrigerated Amber Plastic Syringes.
J Pharm Technol 2019 ;35,3:105-109

  Mentions Légales