Last update :
27/04/2026
Vitamin   Phytomenadione  
Oral solution
injection
Stability of pharmaceutical preparations Stability of mixtures Factors which affect stability Compatibility References pdf
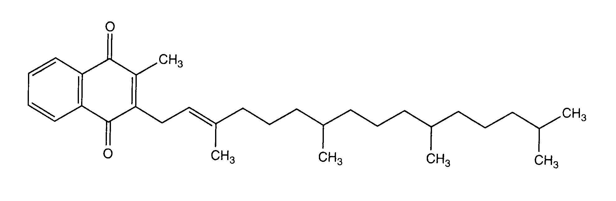
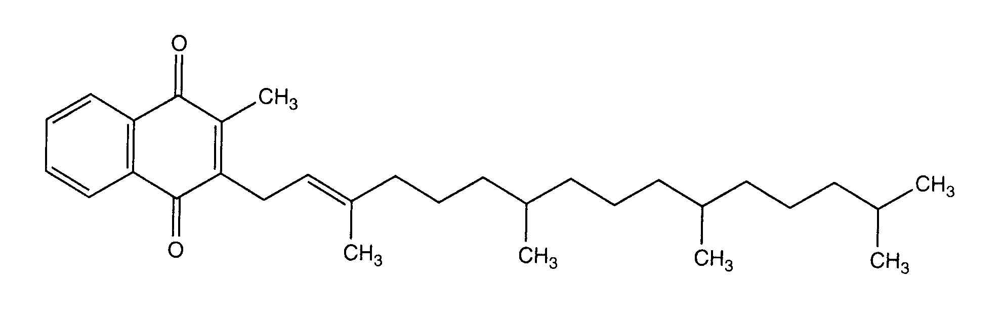
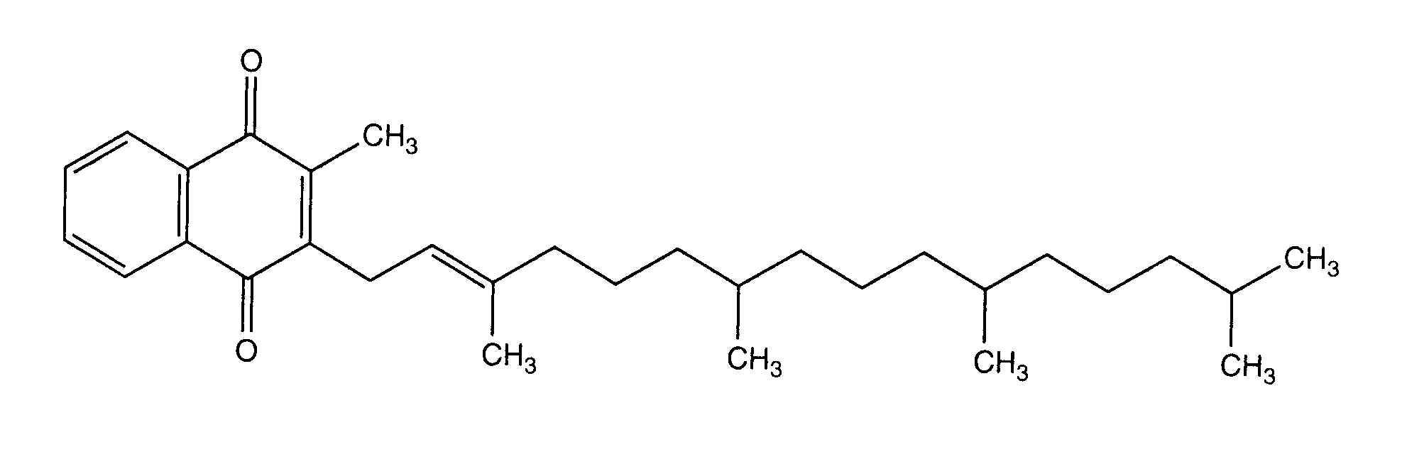
   Chemical structure  

Oral solution
References   Oral solution   References : Phytomenadione  
Type Publication
2697 Journal Sewell GJ, Palmer AJ.
The formulation and stability of a unit-dose oral vitamin K1 preparation.
J Clin Pharm Ther 1988 ; 13, 1: 73-76.
4140 Journal Huffman J, Brown S, Lewis P, Lawson S, Ogle A, Peacock G.
Comparative Stability of Vitamin K1 Oral Liquids Prepared in Sterile Water for Injection and Stored in Amber Glass Bottles and Amber Plastic Syringes.
Int J Pharm Compound 2018 ;22,4:340-344
4317 Journal Lawson S, Lewis P, Peacock G, Brown S.
Comparative Stability of Oral Vitamin K Liquids Stored in Refrigerated Amber Plastic Syringes.
J Pharm Technol 2019 ;35,3:105-109

  Mentions Légales