Senaste uppdateringen :
27/04/2026
Betablockerare   Carvedilol  
Oral lösning
Stabilitet av läkemedel Stabilitet i blandningar Faktorer som påverkar stabiliteten Kompatibilitet Hänvisningar pdf
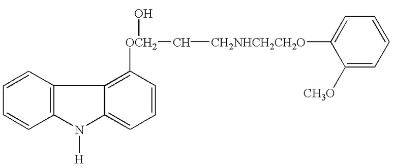
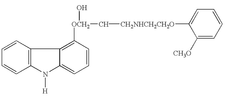
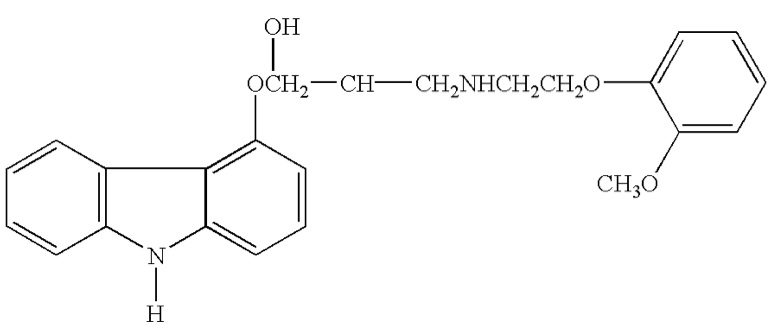
   Molekylstruktur  

Oral lösning

Faktorer som påverkar stabiliteten   Oral lösning   Faktorer som påverkar stabiliteten : Carvedilol        
Ingen uppgift

  Mentions Légales