Utolsó frissítés :
27/01/2026
Béta-blokkoló   Carvedilol  
belsőleges oldat
Stabilitása gyógyszerészeti készítmények A keverékek stabilitása Stabilitást befolyásoló tényezők Kompatibilitás Irodalom pdf
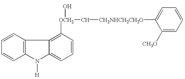
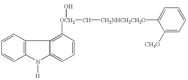
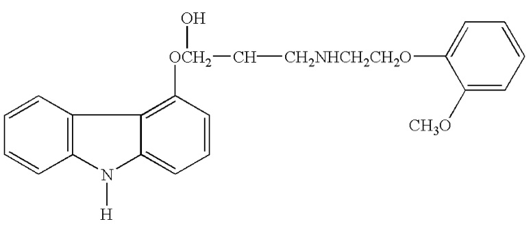
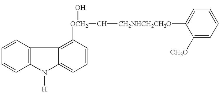
   Kémiai szerkezet   

belsőleges oldat

Stabilitást befolyásoló tényezők   belsőleges oldat   Stabilitást befolyásoló tényezők : Carvedilol        
Hiányzó adat

  Mentions Légales