zadnja posodobitev :
27/01/2026
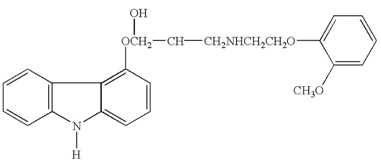
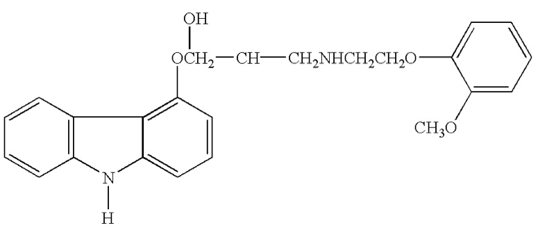
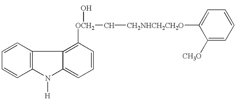
Zaviralec adrenergičnih receptorjev beta   Carvedilol  
Peroralna raztopina
Stabilnost farmacevtskih preparatov Stabilnost mešanice Faktorji, ki vplivajo na stabilnost Kompatibilnost Viri pdf
   Kemična formula  

Peroralna raztopina

Faktorji, ki vplivajo na stabilnost   Peroralna raztopina   Faktorji, ki vplivajo na stabilnost : Carvedilol        
ni podatka

  Mentions Légales