Dernière mise à jour :
21/01/2026
Antifongique   Nystatin  
Gargarisme
Stabilité des préparations Stabilité en mélange Facteur influençant la stabilité Compatibilités Bibliographie pdf
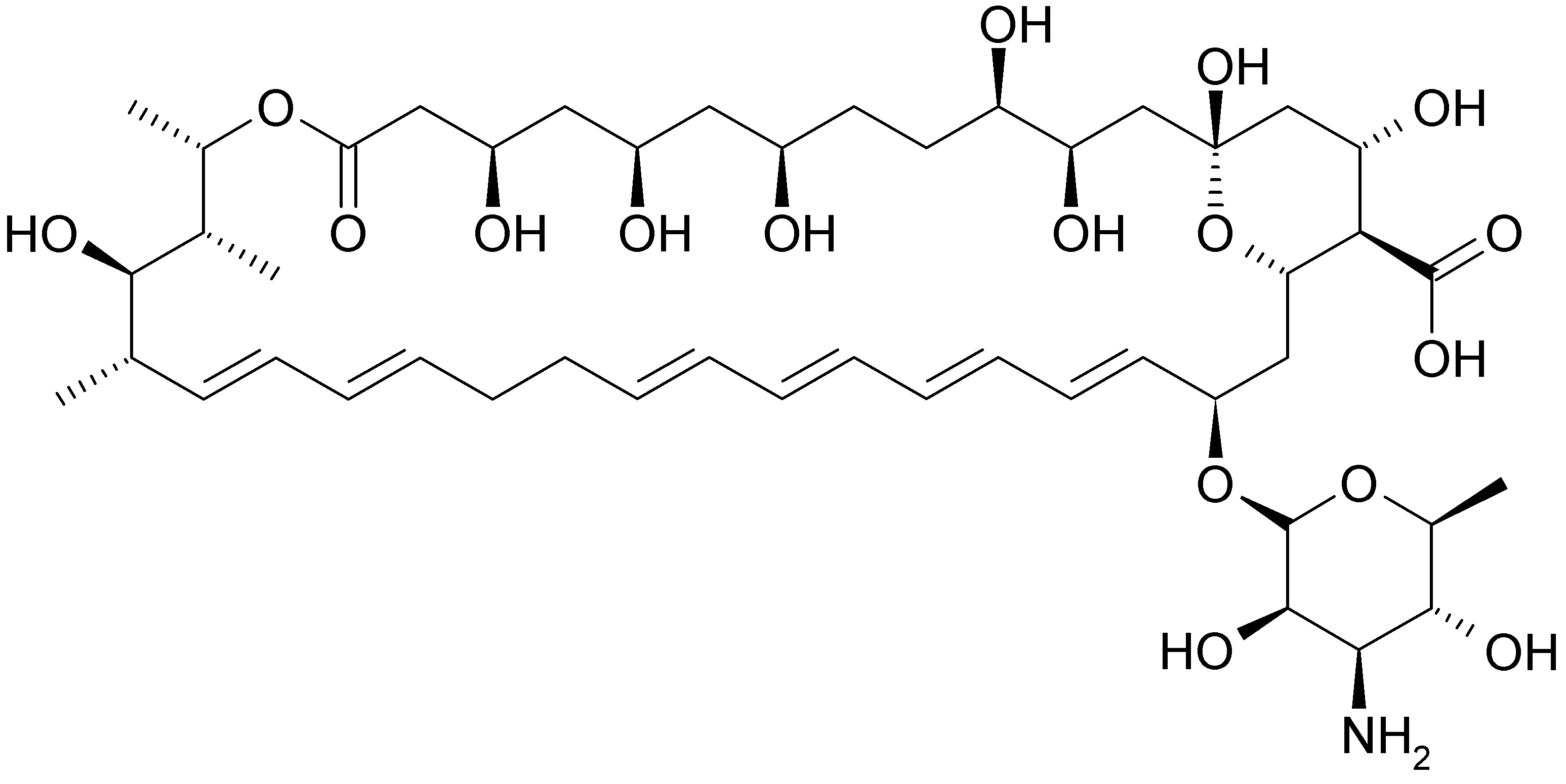
   Structure chimique  

Gargarisme
Stabilité des préparations   Gargarisme    Stabilité des préparations : Nystatin     
Contenant Origine Excipient Température Conservation Durée de stabilité Bibliographie
Verre Poudre 2.29 MUI
Mycostatine®
NaHCO3 1.4% >> 500 ml
19-23°C A l’abri de la lumière
4 Jour
2820

Polypropylène Poudre 2.29 MUI
Mycostatine®
NaHCO3 1.4% >> 500 ml
19-23°C A l’abri de la lumière
4 Jour
2820

Polypropylène Poudre 2.29 MUI
Mycostatine®
NaHCO3 1.4% >> 500 ml
4°C A l’abri de la lumière
15 Jour
2820

Non précisé Liquide 2.4 MUI = 24 ml
Mycostatine®
Hexetidine 0.1% 75 ml
NaHCO3 1.4% >>400 ml
20-25°C A l’abri de la lumière
3 Jour
2729


  Mentions Légales