最新更新 :
27/04/2026
抗真菌药   Nystatin  
漱口水
制剂的稳定性 混合物稳定性 影响稳定性的因素 兼容性 引用文献 PDF
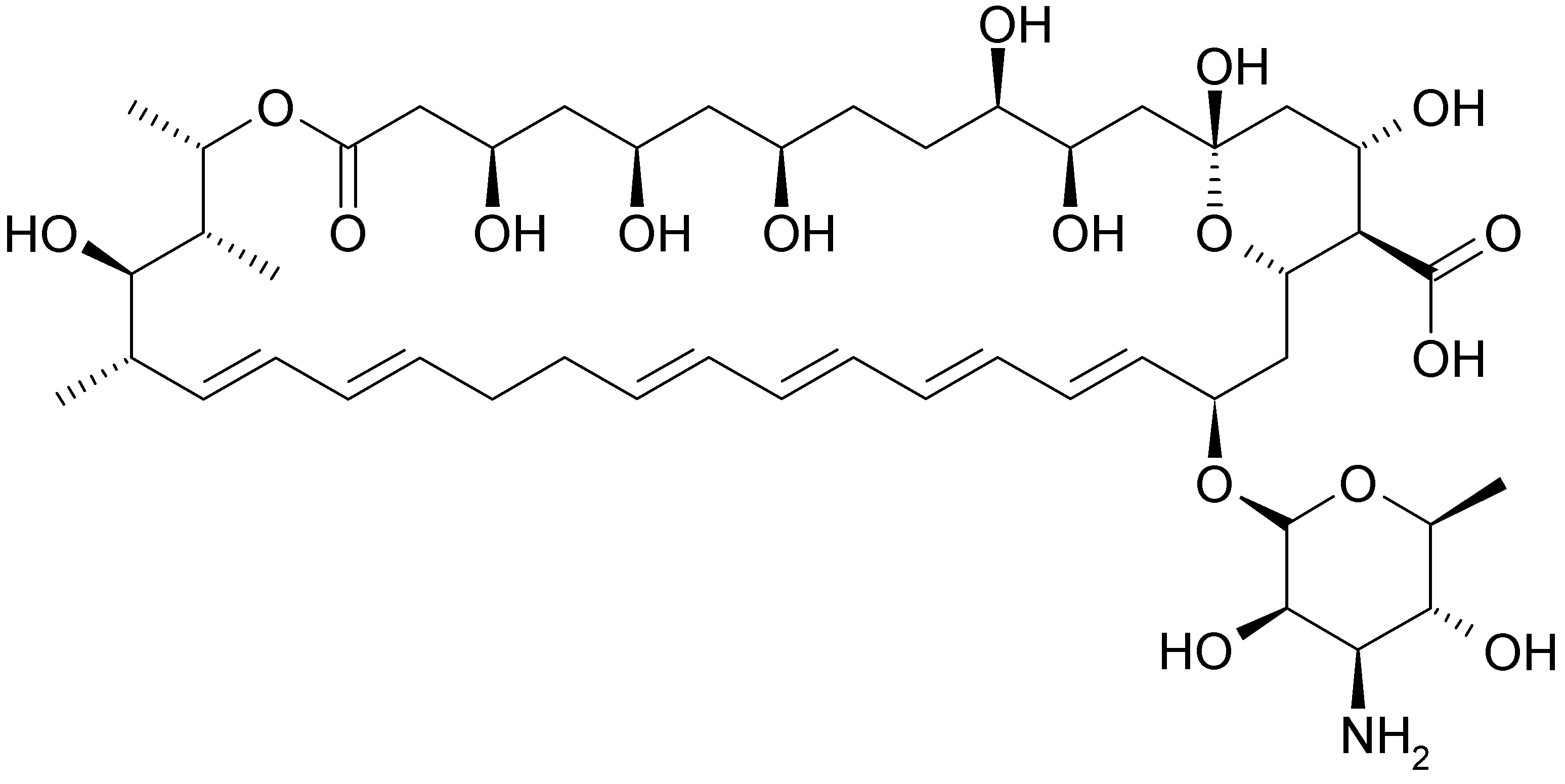
   化学式  

漱口水
制剂的稳定性   漱口水   制剂的稳定性 : Nystatin     
容器 Origine 添加剂 温度 保存 穩定持續時間 引用文献
玻璃 粉剂 2.29 MUI
Mycostatine®
碳酸氢钠 1.4% >> 500 ml
19-23°C 避光
4 白天
2820

聚丙烯 粉剂 2.29 MUI
Mycostatine®
碳酸氢钠 1.4% >> 500 ml
19-23°C 避光
4 白天
2820

聚丙烯 粉剂 2.29 MUI
Mycostatine®
碳酸氢钠 1.4% >> 500 ml
4°C 避光
15 白天
2820

不详 液体 2.4 MUI = 24 ml
Mycostatine®
海克0.1% 75 ml
碳酸氢钠 1.4% >>400 ml
20-25°C 避光
3 白天
2729


  Mentions Légales