Senaste uppdateringen :
27/11/2025
Antimykotikum   Nystatin  
Munvatten
Stabilitet av läkemedel Stabilitet i blandningar Faktorer som påverkar stabiliteten Kompatibilitet Hänvisningar pdf
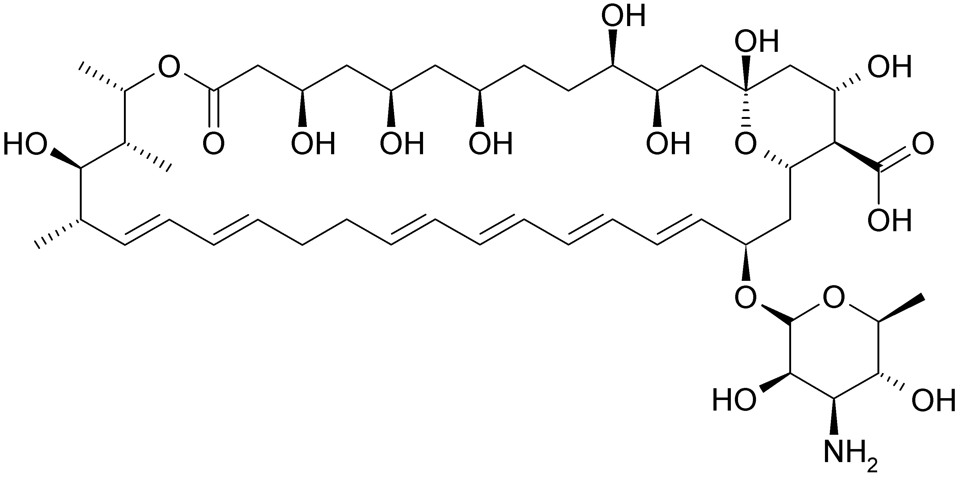
   Molekylstruktur  

Munvatten
Stabilitet av läkemedel   Munvatten   Stabilitet av läkemedel : Nystatin     
Behållare Origine Hjälpämne Temperatur Förvaring Stabilitets varaktighet Hänvisningar
Glas Pulver 2.29 MUI
Mycostatine®
Natriumbikarbonat 1.4% >> 500 ml
19-23°C Skyddas från ljus
4 Dag
2820

Polypropylen Pulver 2.29 MUI
Mycostatine®
Natriumbikarbonat 1.4% >> 500 ml
19-23°C Skyddas från ljus
4 Dag
2820

Polypropylen Pulver 2.29 MUI
Mycostatine®
Natriumbikarbonat 1.4% >> 500 ml
4°C Skyddas från ljus
15 Dag
2820

Ej angiven Flytande 2.4 MUI = 24 ml
Mycostatine®
Hexetidin 0.1% 75 ml
Natriumbikarbonat 1.4% >>400 ml
20-25°C Skyddas från ljus
3 Dag
2729


  Mentions Légales