Zadnji put ažurirano :
27/01/2026
lijek protiv karcinoma   Etoposide  
oralna otopina
injekcija
Stabilnost farmaceutskih pripravaka Stabilnost mješavine Stabilizacijski faktor Kompatibilnosti Bibliografija pdf
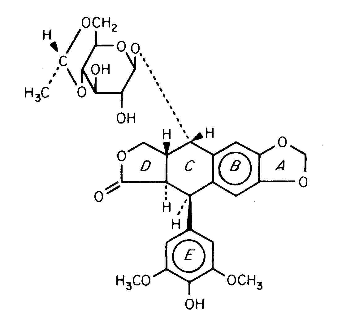
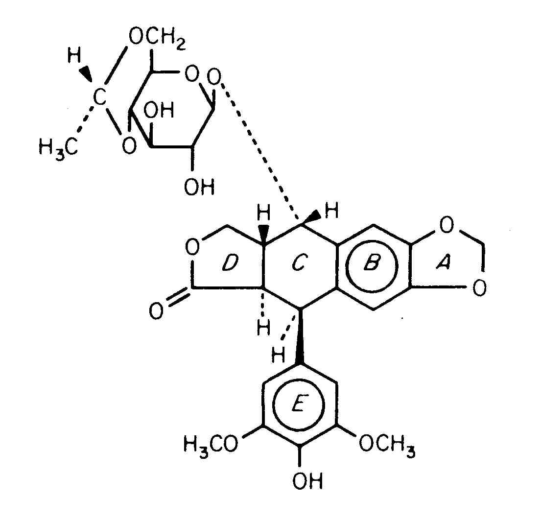
   Kemijska struktura  

oralna otopina

Stabilizacijski faktor   oralna otopina     Stabilizacijski faktor : Etoposide        
bez podataka

  Mentions Légales