viimane versioon :
27/01/2026
vähiravimite   Etoposide  
suukaudne lahus
Süsteravim
Stabiilsust ravimpreparaadid Stabiilsust mõjutavad tegurid stabiilsust mõjutavad faktorid Sobimatus Viited pdf
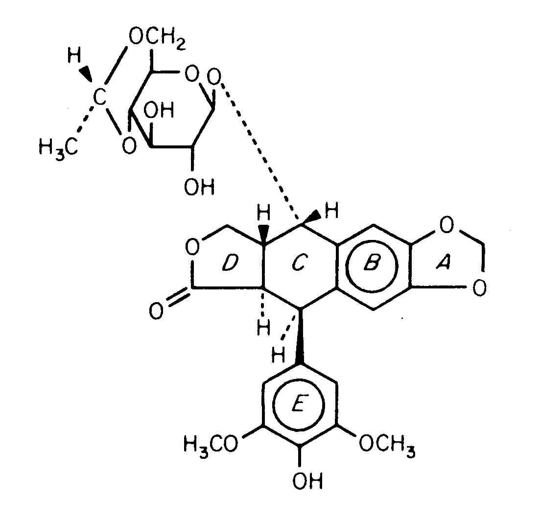
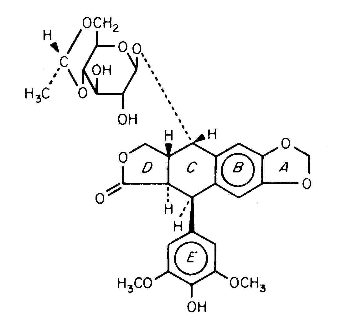
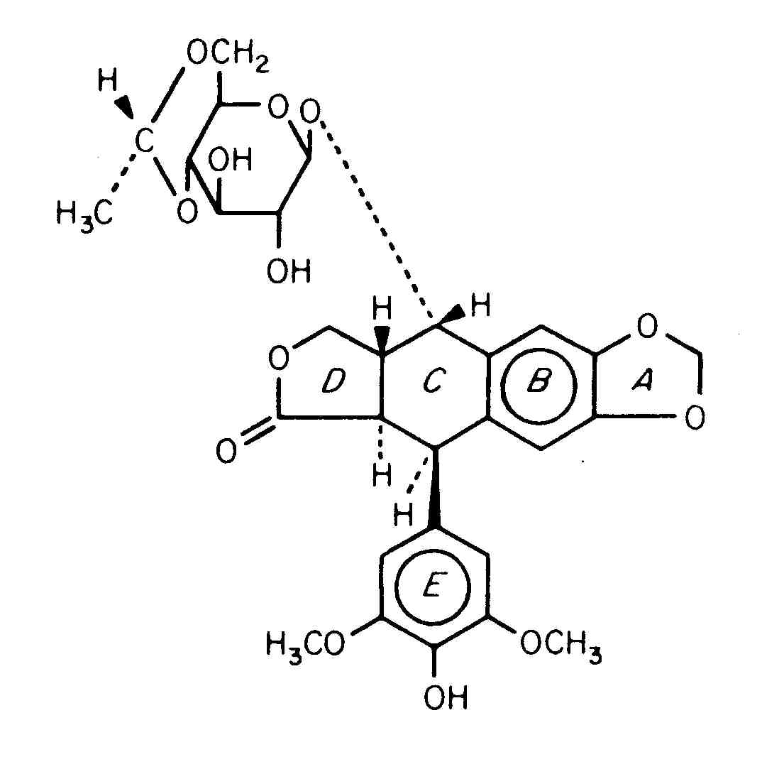
   keemiline struktuur  

suukaudne lahus

stabiilsust mõjutavad faktorid   suukaudne lahus   stabiilsust mõjutavad faktorid : Etoposide        
andmed puuduvad

  Mentions Légales