Son güncelleme :
27/01/2026
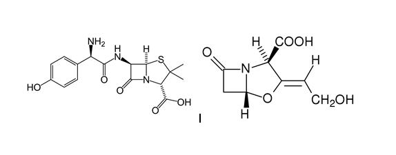
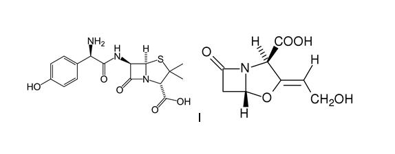
Antibiyotik   Amoxicillin sodium / clavulanic acid  
Oral solüsyon / oral çözelti
Enjeksiyon
Farmasötik preparatlar Kararlılığı Karışımlardaki stabilitesi Stabiliteyi etkileyen faktörler Uyumluluk Kaynaklar pdf
   Kimyasal yapı   

Oral solüsyon / oral çözelti
Kaynaklar   Oral solüsyon / oral çözelti   Kaynaklar : Amoxicillin sodium / clavulanic acid  
tip yayın
2508 Dergi Tu YH, Stiles ML, Allen LV, Jr, Olsen KM, Barton CI, Greenwood RB.
Stability of amoxicillin trihydrate-potassium clavulanate in original containers and unit dose oral syringes
Am J Hosp Pharm 1988 ; 45: 1092-1099.
2951 Dergi Mehta AC, Hart-Davies S, Payne J, Lacey RW..
Stability of amoxicillin and potassium clavulanate in co-amoxiclav oral suspension.
J Clin Pharm Ther 1994 ; 19: 313-315.

  Mentions Légales