Senaste uppdateringen :
27/01/2026
Infostab
Förteckning över substanser
Sammanfattande listor
Sök efter kompatibilitet
Kompatibilitetstabell
Hänvisningar
forskargrupper
valistab
Posters
Anslutningar
sponsorer
Författare
Användaranvisning
Nyhetsbladet
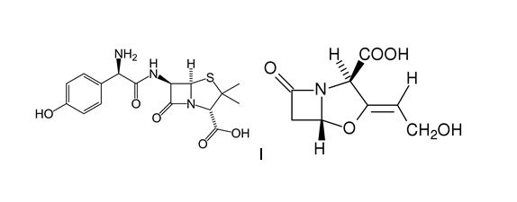
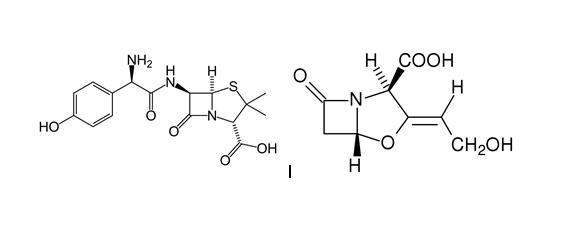
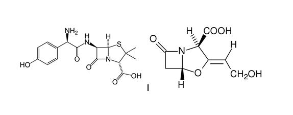
Amoxicillin sodium / clavulanic acid
Molekylstruktur
Hänvisningar : Amoxicillin sodium / clavulanic acid
Typ
Publikation
2508
tidningen
Tu YH, Stiles ML, Allen LV, Jr, Olsen KM, Barton CI, Greenwood RB.
Stability of amoxicillin trihydrate-potassium clavulanate in original containers and unit dose oral syringes
Am J Hosp Pharm 1988 ; 45: 1092-1099.
2951
tidningen
Mehta AC, Hart-Davies S, Payne J, Lacey RW..
Stability of amoxicillin and potassium clavulanate in co-amoxiclav oral suspension.
J Clin Pharm Ther 1994 ; 19: 313-315.
Mentions Légales