viimane versioon :
27/01/2026
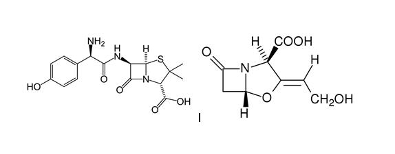
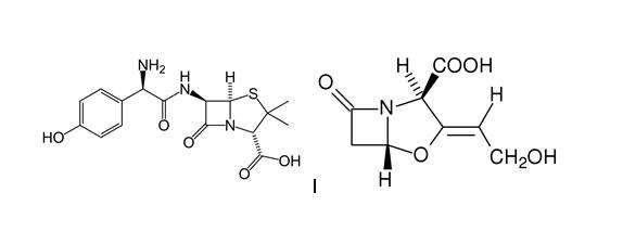
antibiootikum   Amoxicillin sodium / clavulanic acid  
suukaudne lahus
Süsteravim
Stabiilsust ravimpreparaadid Stabiilsust mõjutavad tegurid stabiilsust mõjutavad faktorid Sobimatus Viited pdf
   keemiline struktuur  

suukaudne lahus
Viited   suukaudne lahus   Viited : Amoxicillin sodium / clavulanic acid  
tüüp avaldamine
2508 ajaleht Tu YH, Stiles ML, Allen LV, Jr, Olsen KM, Barton CI, Greenwood RB.
Stability of amoxicillin trihydrate-potassium clavulanate in original containers and unit dose oral syringes
Am J Hosp Pharm 1988 ; 45: 1092-1099.
2951 ajaleht Mehta AC, Hart-Davies S, Payne J, Lacey RW..
Stability of amoxicillin and potassium clavulanate in co-amoxiclav oral suspension.
J Clin Pharm Ther 1994 ; 19: 313-315.

  Mentions Légales