Последнее обновление :
18/03/2026
Противоаритмический, антиаритмический   Flecainide acetate  
Раствор для перорального приёма
Инъекция
Стабильность фармацевтических препаратов Стабильность смесей Факторы, которые влияют на стабильность Совместимость Библиография pdf
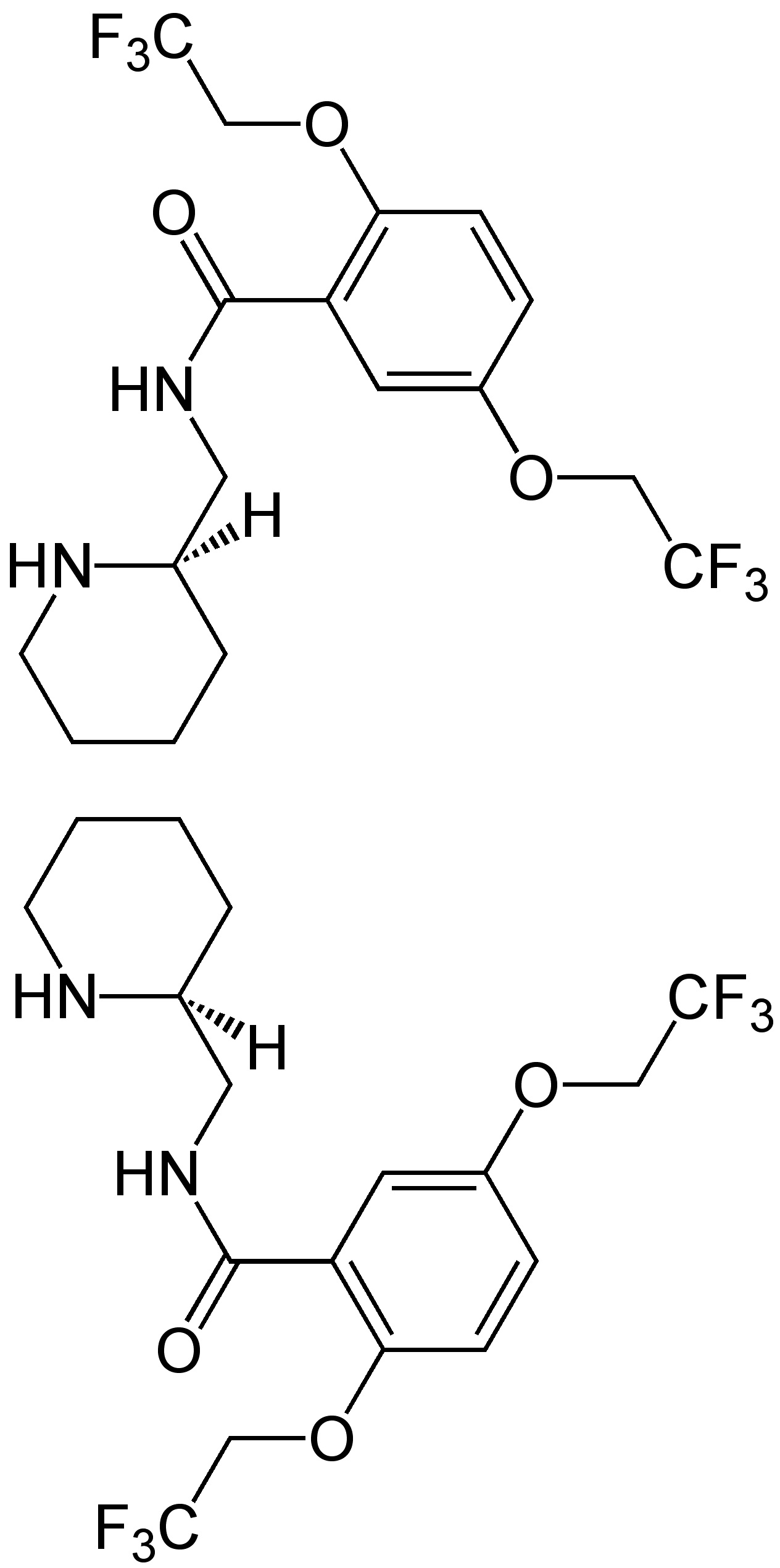
   Химическая структура  

Раствор для перорального приёма
Стабильность фармацевтических препаратов   Раствор для перорального приёма   Стабильность фармацевтических препаратов : Flecainide acetate     
Упаковка Origine Наполнитель Температура Хранение Продолжительность стабильности Ссылки
Стекло Таблетки 400 mg
Apocard®
SyrSpend SF® >> 20 ml
25°C Не указано
90 День
4198

Стекло Таблетки 400 mg
Apocard®
SyrSpend SF® >> 20 ml
4°C Не указано
90 День
4198

Пластиковая бутылка Таблетки 2400 mg
?
OraPlus® / OraSweet® (1:1) >> 120 ml
25°C Защищён от света
60 День
2433

Пластиковая бутылка Таблетки 2400 mg
?
OraPlus® / OraSweet SF® (1:1) >> 120 ml
25°C Защищён от света
60 День
2433

Пластиковая бутылка Таблетки 2400 mg
?
Вишневый сироп >> 120 ml
25°C Защищён от света
60 День
2433

Пластиковая бутылка Таблетки 2400 mg
?
OraPlus® / OraSweet® (1:1) >> 120 ml
4°C Защищён от света
60 День
2433

Пластиковая бутылка Таблетки 2400 mg
?
OraPlus® / OraSweet SF® (1:1) >> 120 ml
4°C Защищён от света
60 День
2433

Пластиковая бутылка Таблетки 2400 mg
?
Вишневый сироп >> 120 ml
4°C Защищён от света
60 День
2433


  Mentions Légales