Τελευταία ενημέρωση :
27/01/2026
Αντιαρρυθμικό   Flecainide acetate  
Πόσιμο διάλυμα
Ενέσιμο
Σταθερότητα και συμβατότητα των φαρμάκων Σταθερότητα σε μίγματα Παράγοντας που επηρεάζει τη σταθερότητα Συμβατότητες Βιβλιογραφία pdf
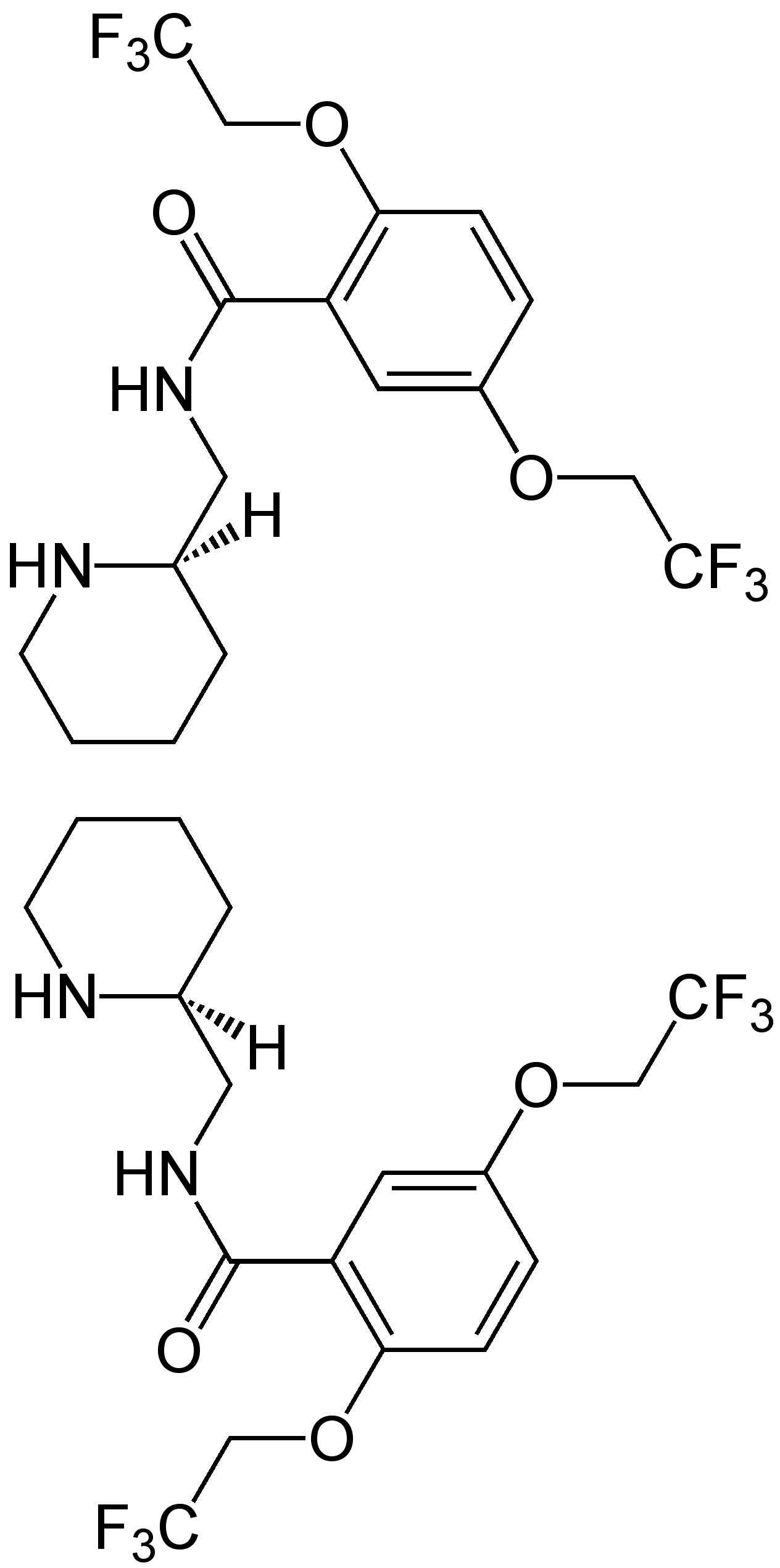
   χημική δομή  

Πόσιμο διάλυμα
Σταθερότητα και συμβατότητα των φαρμάκων   Πόσιμο διάλυμα   Σταθερότητα και συμβατότητα των φαρμάκων : Flecainide acetate     
Υποδοχέας Origine Έκδοχο Θερμοκρασία Αποθήκευση Διάρκεια σταθερότητας Βιβλιογραφία
Ύαλος Δισκία 400 mg
Apocard®
SyrSpend SF® >> 20 ml
25°C Απροσδιόριστο
90 Ημέρα
4198

Ύαλος Δισκία 400 mg
Apocard®
SyrSpend SF® >> 20 ml
4°C Απροσδιόριστο
90 Ημέρα
4198

Πλαστικό μπουκάλι Δισκία 2400 mg
?
OraPlus® / OraSweet® (1:1) >> 120 ml
25°C Προστατεύετε από το φως
60 Ημέρα
2433

Πλαστικό μπουκάλι Δισκία 2400 mg
?
OraPlus® / OraSweet SF® (1:1) >> 120 ml
25°C Προστατεύετε από το φως
60 Ημέρα
2433

Πλαστικό μπουκάλι Δισκία 2400 mg
?
Κεράσι σιρόπι >> 120 ml
25°C Προστατεύετε από το φως
60 Ημέρα
2433

Πλαστικό μπουκάλι Δισκία 2400 mg
?
OraPlus® / OraSweet® (1:1) >> 120 ml
4°C Προστατεύετε από το φως
60 Ημέρα
2433

Πλαστικό μπουκάλι Δισκία 2400 mg
?
OraPlus® / OraSweet SF® (1:1) >> 120 ml
4°C Προστατεύετε από το φως
60 Ημέρα
2433

Πλαστικό μπουκάλι Δισκία 2400 mg
?
Κεράσι σιρόπι >> 120 ml
4°C Προστατεύετε από το φως
60 Ημέρα
2433


  Mentions Légales