Последно актуализиране :
27/01/2026
Антиаритмик   Flecainide acetate  
Орален разтвор
Инжекция/Инжекционен
Стабилност на лекарствени препарати Стабилност на смеси Фактори, повлияващи стабилността Съвместимост Библиография Pdf
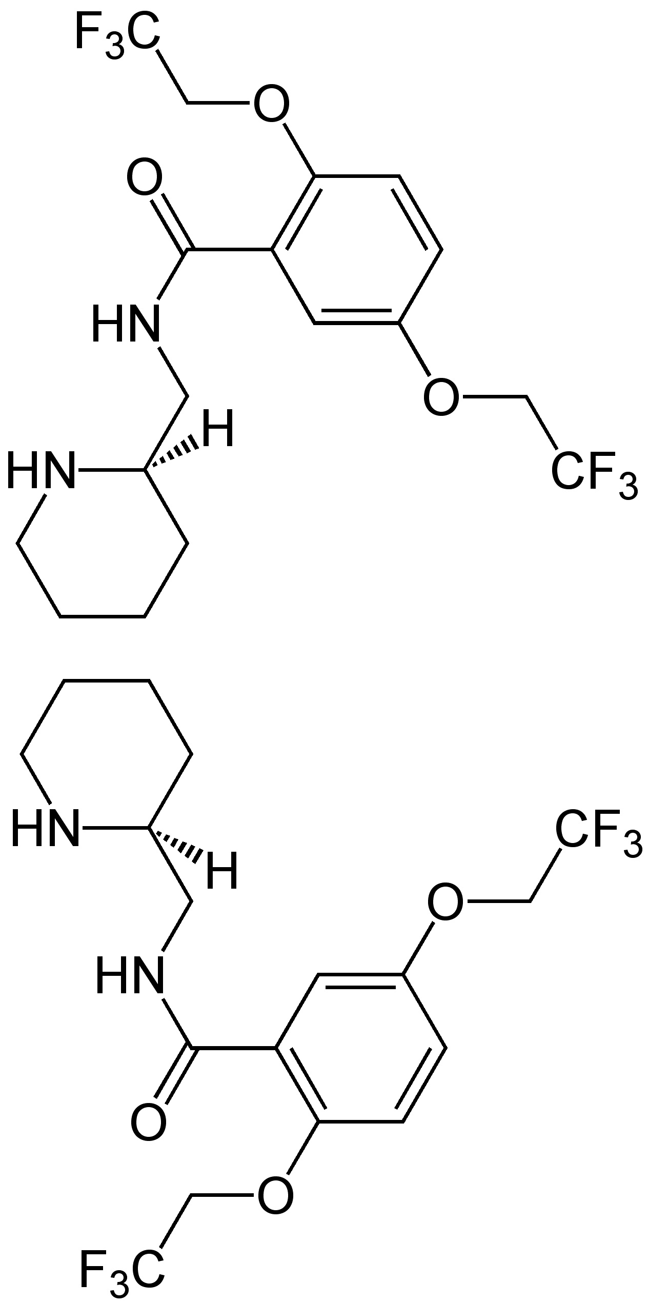
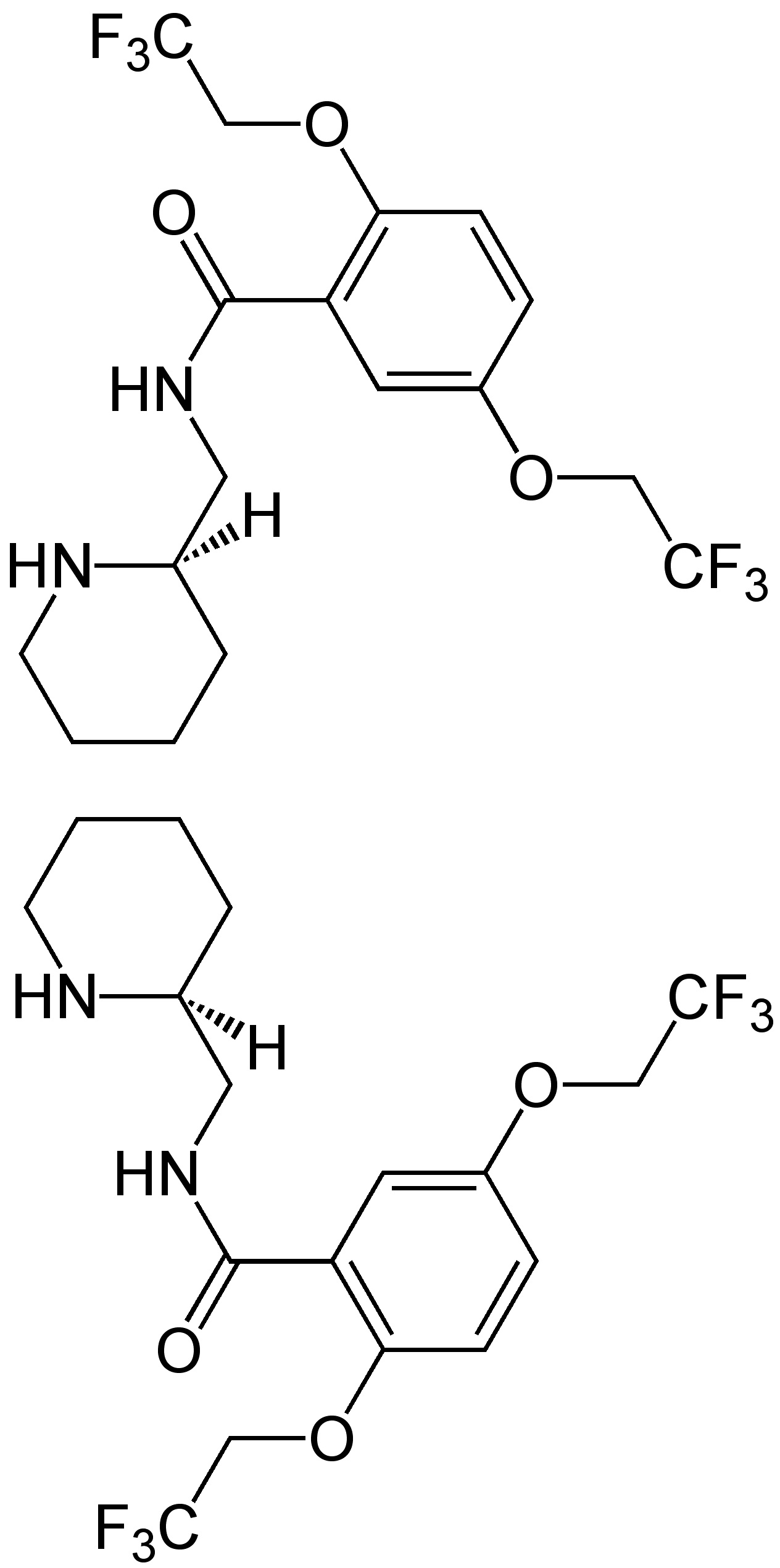
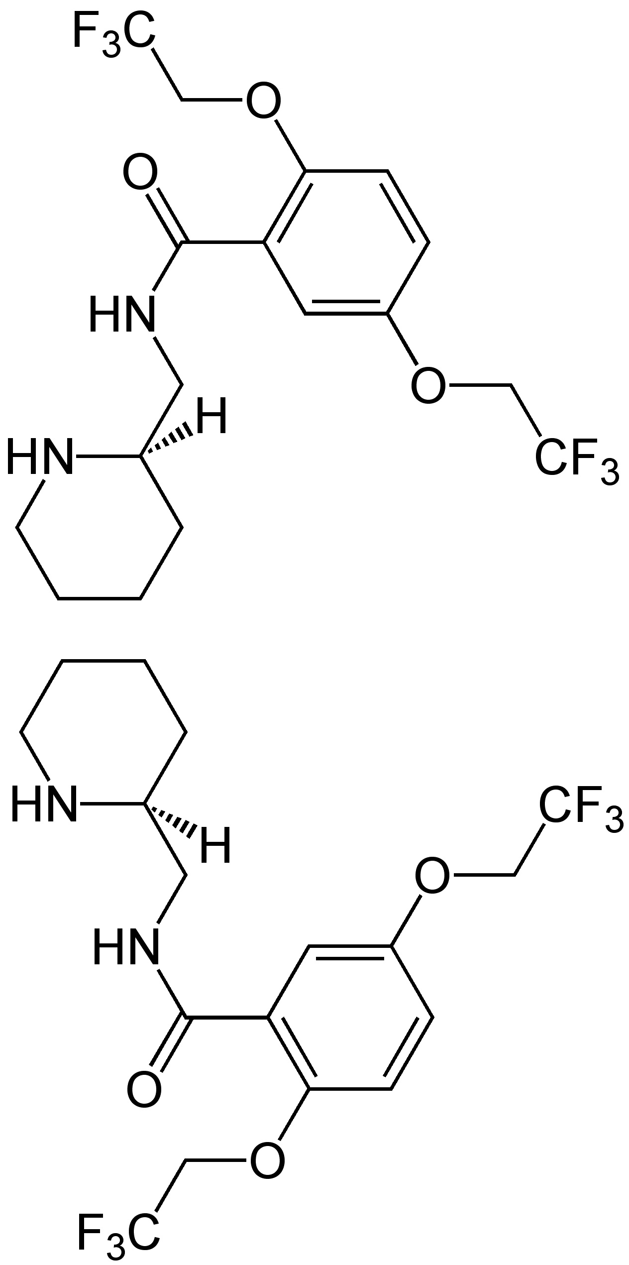
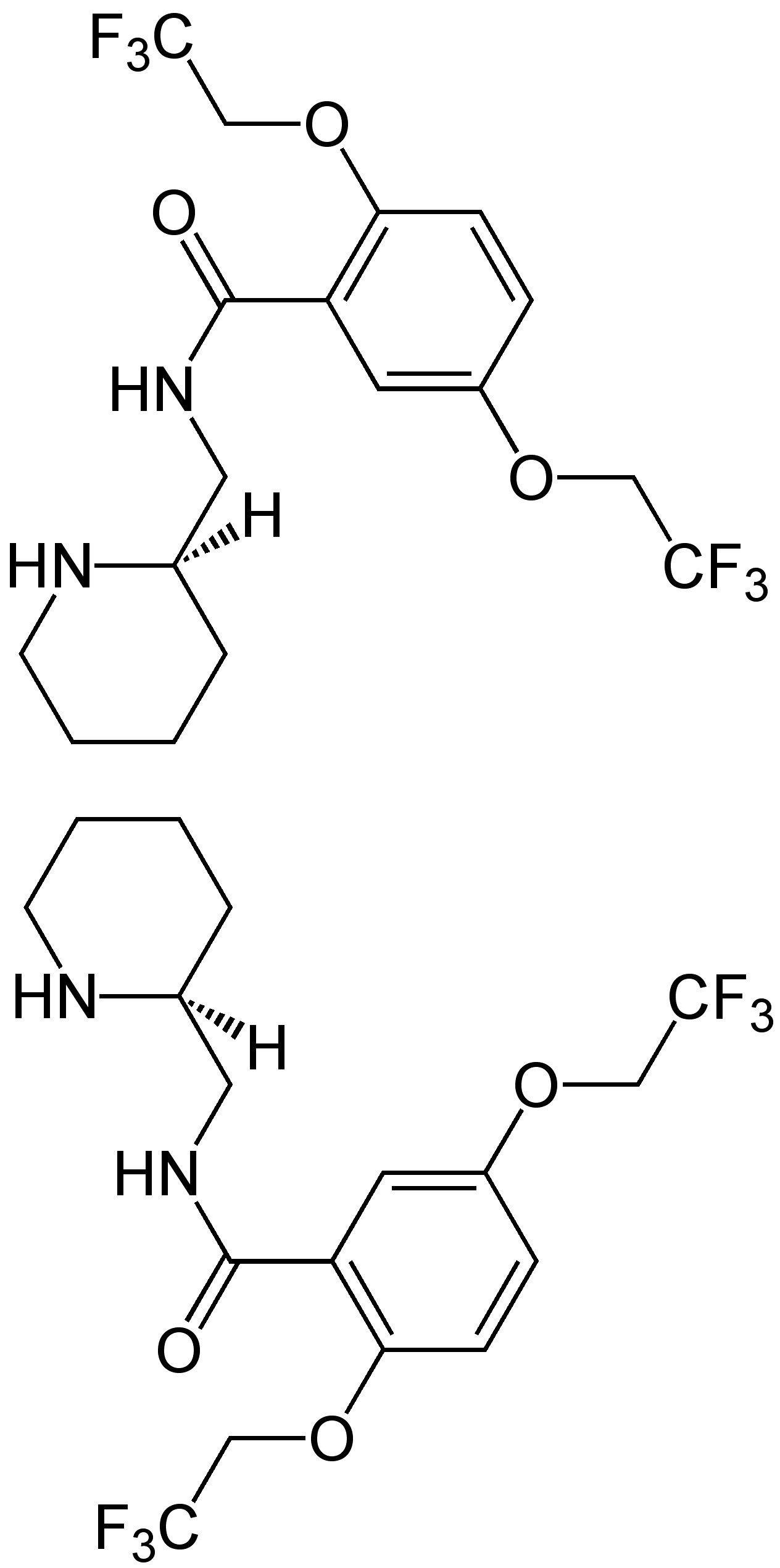
   Химична структура  

Орален разтвор
Стабилност на лекарствени препарати   Орален разтвор   Стабилност на лекарствени препарати : Flecainide acetate     
Контейнер Origine Помощно вещество Температура Съхранение Продължителност на стабилността Библиография
Стъкло таблетки 400 mg
Apocard®
СирСпенд SF® >> 20 ml
25°C Не е уточнено
90 Ден
4198

Стъкло таблетки 400 mg
Apocard®
СирСпенд SF® >> 20 ml
4°C Не е уточнено
90 Ден
4198

Пластмасова бутилка таблетки 2400 mg
?
Ораплюс® / Орасуит® (1:1) >> 120 ml
25°C Защита от светлина
60 Ден
2433

Пластмасова бутилка таблетки 2400 mg
?
Ораплюс® / Орасуит SF® (1:1) >> 120 ml
25°C Защита от светлина
60 Ден
2433

Пластмасова бутилка таблетки 2400 mg
?
Черешов сироп >> 120 ml
25°C Защита от светлина
60 Ден
2433

Пластмасова бутилка таблетки 2400 mg
?
Ораплюс® / Орасуит® (1:1) >> 120 ml
4°C Защита от светлина
60 Ден
2433

Пластмасова бутилка таблетки 2400 mg
?
Ораплюс® / Орасуит SF® (1:1) >> 120 ml
4°C Защита от светлина
60 Ден
2433

Пластмасова бутилка таблетки 2400 mg
?
Черешов сироп >> 120 ml
4°C Защита от светлина
60 Ден
2433


  Mentions Légales