Ostatnia aktualizacja :
27/01/2026
Antyarytmik   Flecainide acetate  
Roztwór doustny
Injekcje
Stabilność preparatów farmaceutycznych Trwałość w mieszaninie Czynnik wpływający na trwałość Zgodność Bibliografia pdf
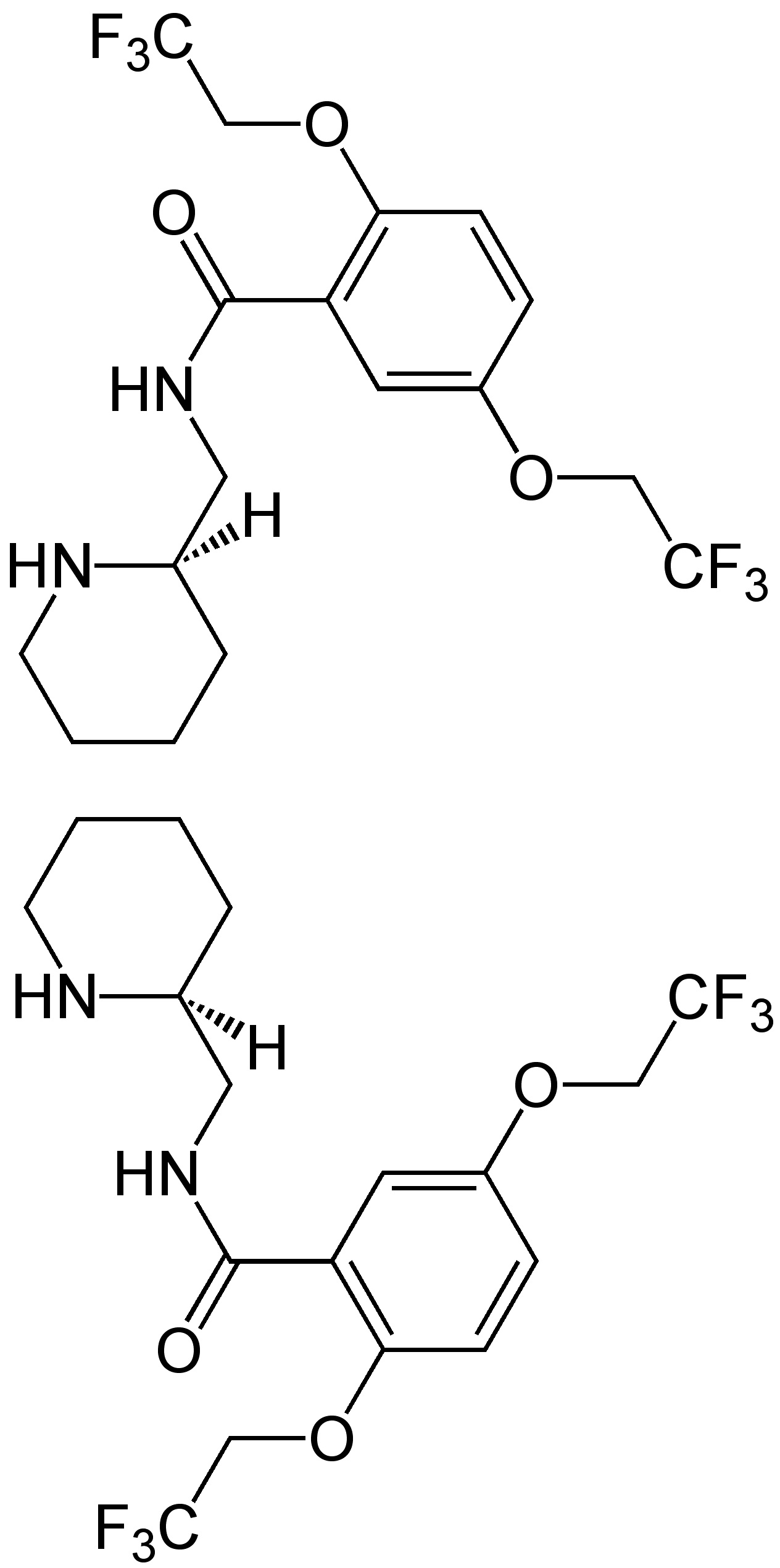
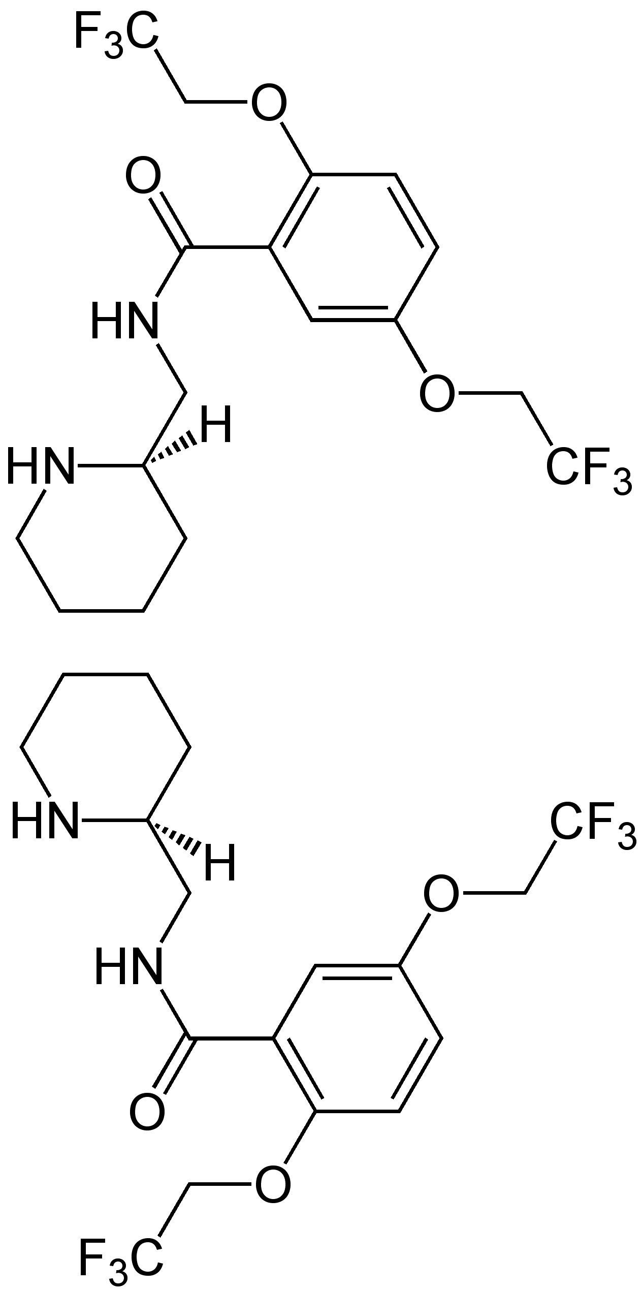
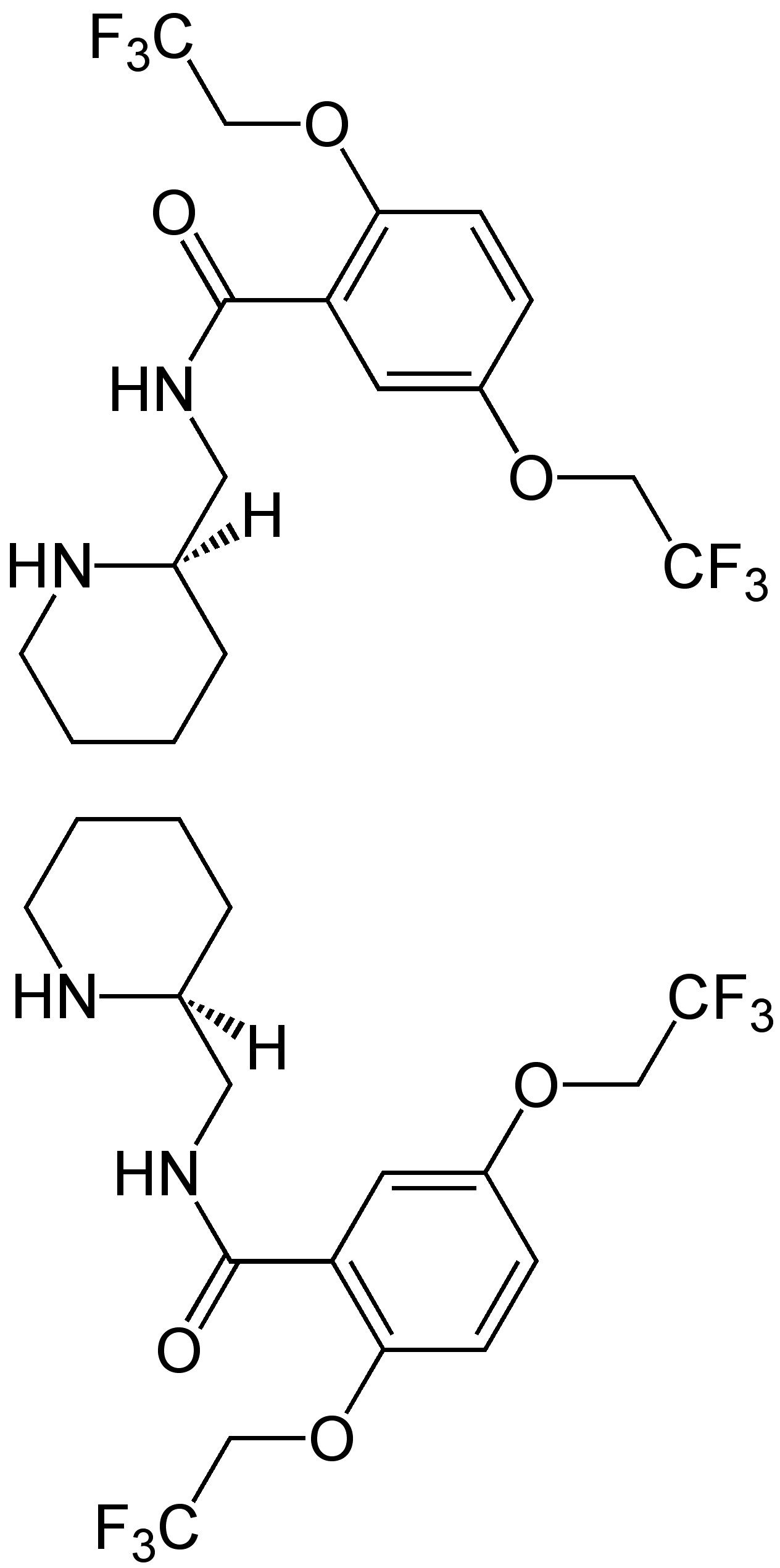
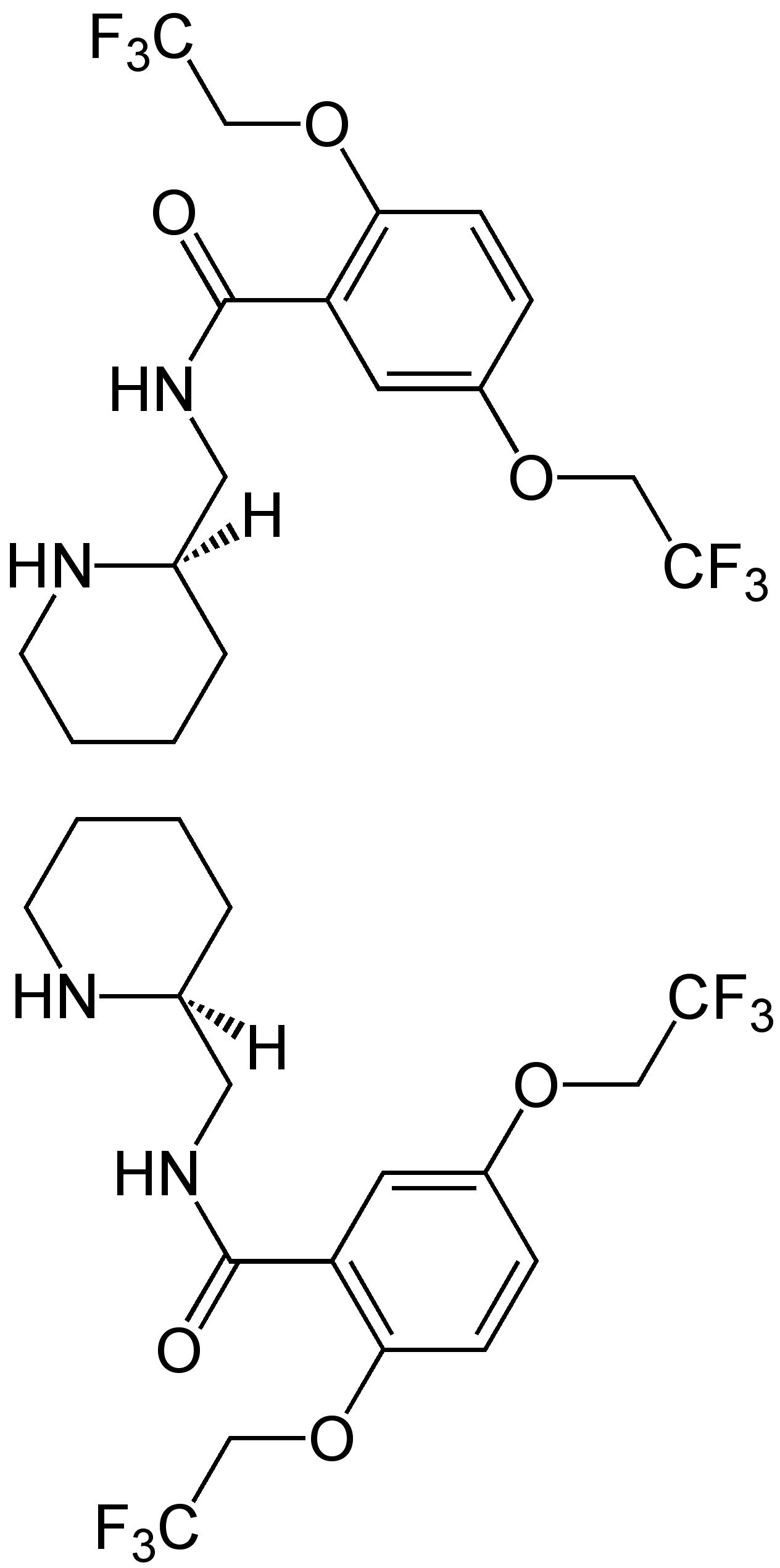
   Struktura chemiczna  

Roztwór doustny

Czynnik wpływający na trwałość   Roztwór doustny   Czynnik wpływający na trwałość : Flecainide acetate        
Brak danych

  Mentions Légales