Seneste opdatering :
27/01/2026
Antiarytmisk   Flecainide acetate  
Oral opløsning
Injektion
Stabilitet af farmaceutiske tilberedninger Stabilitet i blandinger Faktorer der påvirker stabiliteten Kompatibilitet Bibliografi pdf
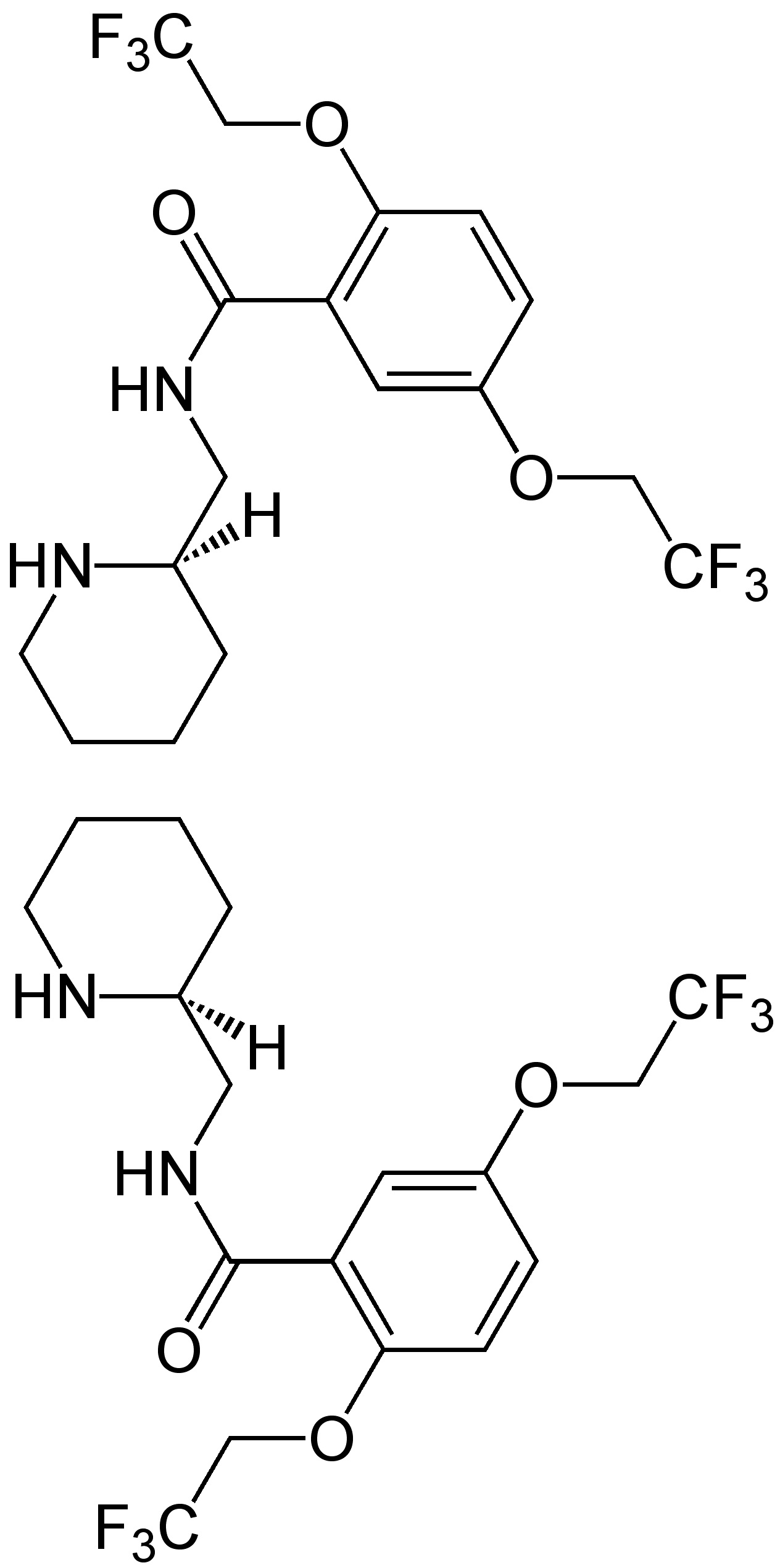
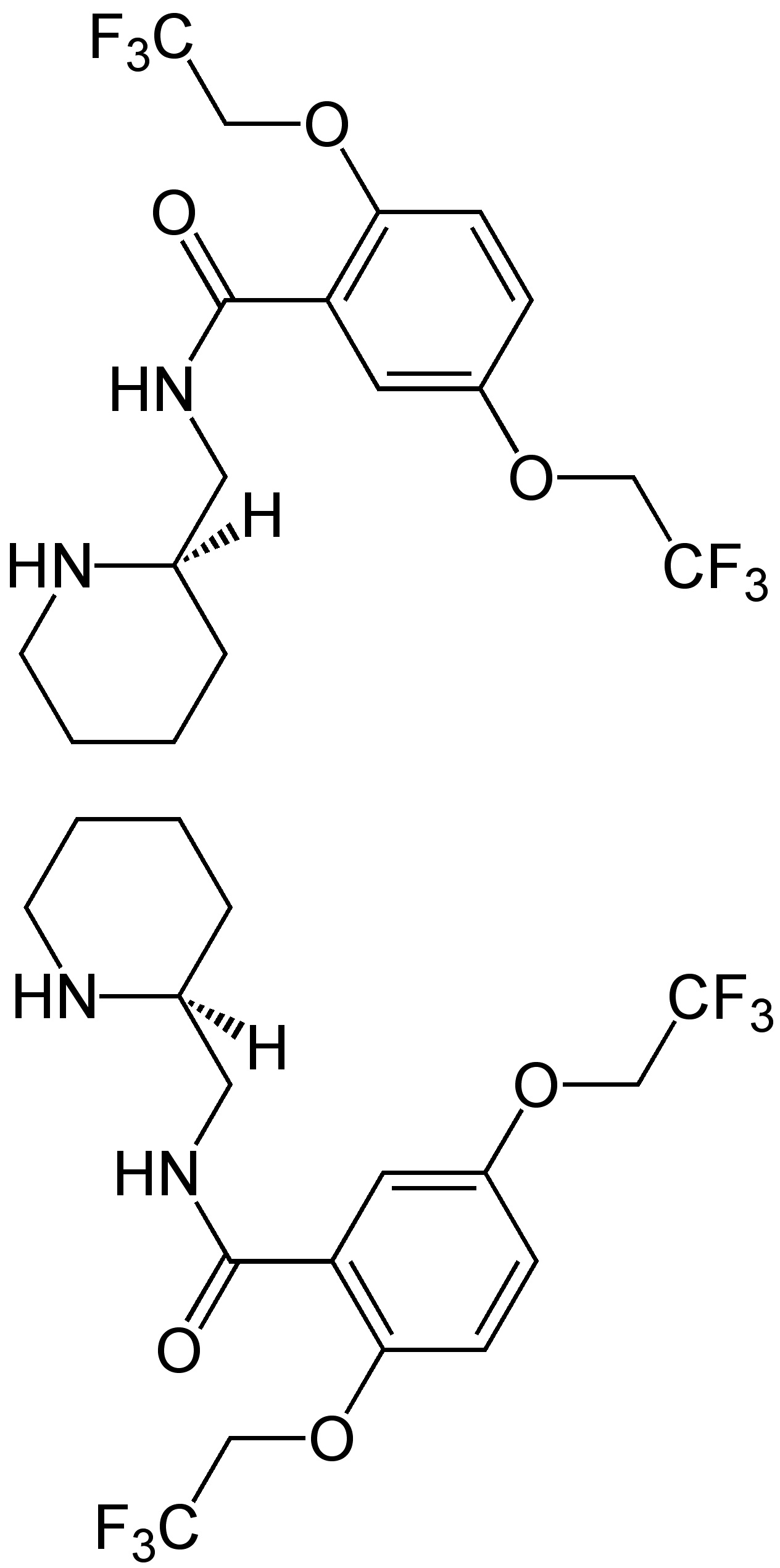
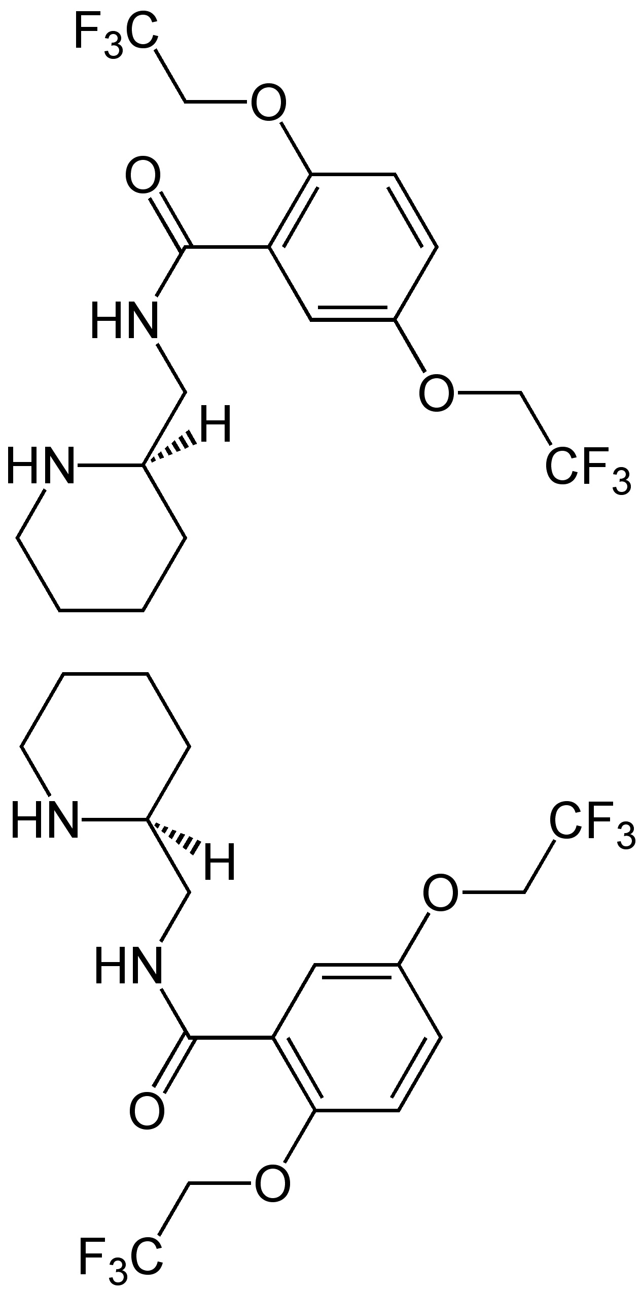
   Kemisk struktur  

Oral opløsning

Faktorer der påvirker stabiliteten   Oral opløsning   Faktorer der påvirker stabiliteten : Flecainide acetate        
Ingen data

  Mentions Légales