Τελευταία ενημέρωση :
27/01/2026
Αντιαρρυθμικό   Flecainide acetate  
Πόσιμο διάλυμα
Ενέσιμο
Σταθερότητα και συμβατότητα των φαρμάκων Σταθερότητα σε μίγματα Παράγοντας που επηρεάζει τη σταθερότητα Συμβατότητες Βιβλιογραφία pdf
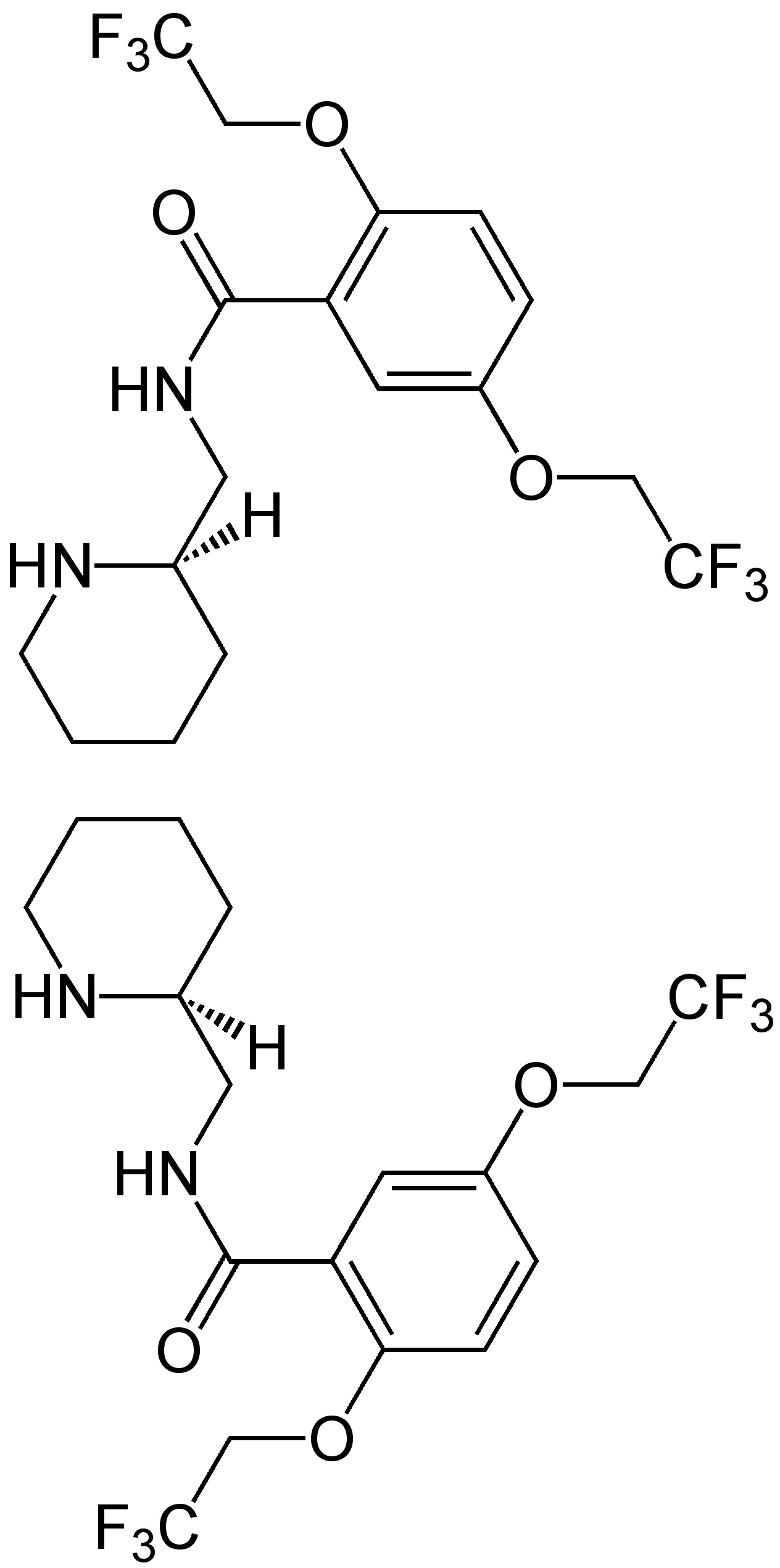
   χημική δομή  

Πόσιμο διάλυμα

Παράγοντας που επηρεάζει τη σταθερότητα   Πόσιμο διάλυμα   Παράγοντας που επηρεάζει τη σταθερότητα : Flecainide acetate        
Δεν υπάρχουν πληροφορίες

  Mentions Légales